pair-50 (Ag-Pb-2022-06-12)¶
Energy distribution
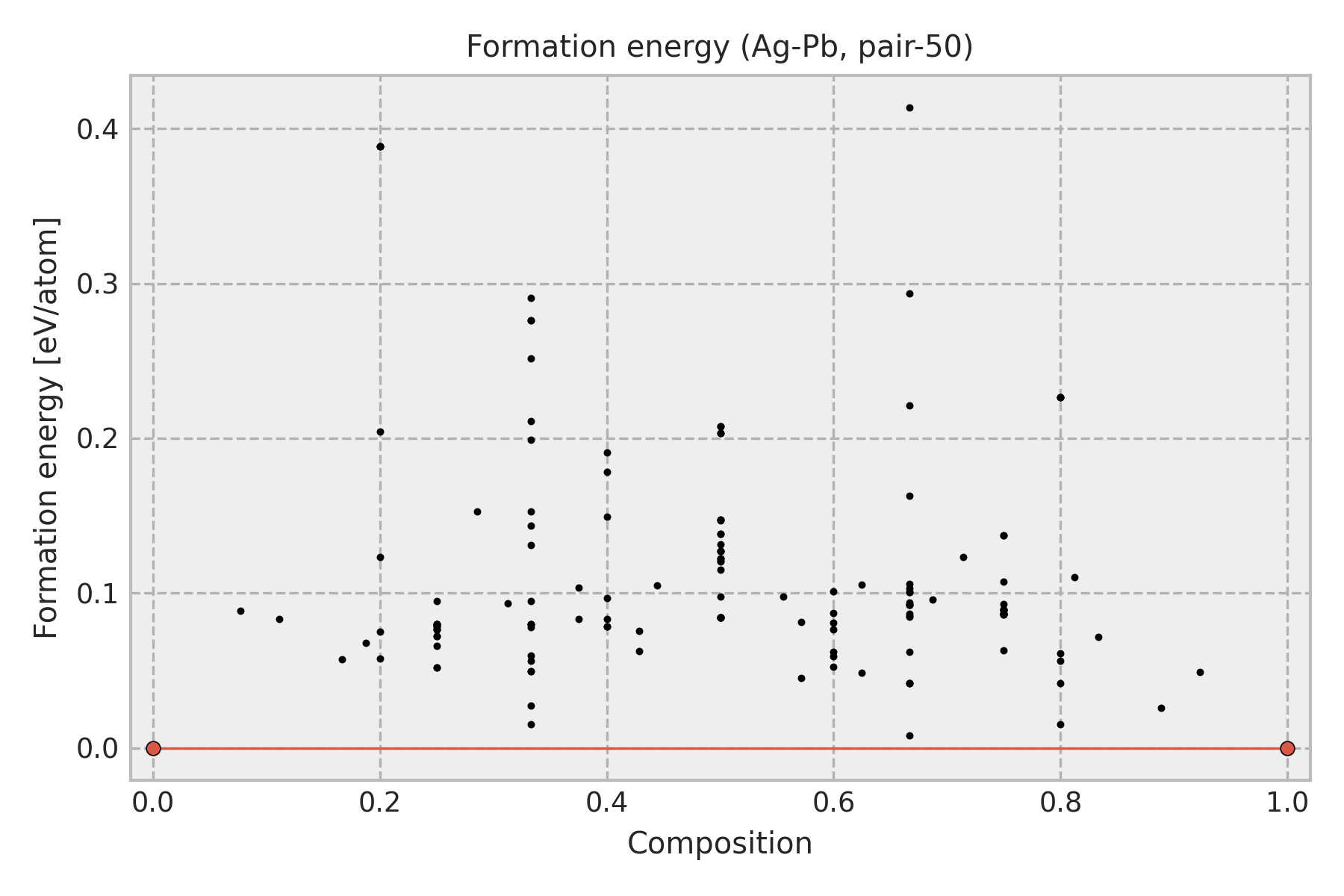
Convex hull (formation energy)
Stable structures
Composition |
Formation energy (eV/atom) |
Structure |
|---|---|---|
0.0 |
0.0 |
Ag |
1.0 |
0.0 |
Pb |
The convex hull and stable structures are obtained by performing local structure optimizations only from structure prototypes used for estimating the MLP. Therefore, they are often inconsistent with experimental structures and/or theoretical globally-stable structures. In addition, the prototype is used as the structure legend in the figure. Therefore, the structure type of the converged structure is sometimes different from that shown in the legend even if the potential energy surface predicted by MLP is almost the same as the true one.
Equation of state for each structure
Prototype structure energy
Phonon density of states
Prototype structure energy, Lattice constants, Elastic constants
Prototype |
MLP (eV/atom) |
DFT (eV/atom) |
|---|---|---|
icsd-97006-10-[InMg2] |
-2.90797 |
-2.90883 |
icsd-105521-10-[Al5W] |
-2.83723 |
-2.83732 |
icsd-648748-10-[Pd4Se] |
-2.83102 |
-2.83506 |
icsd-30446-01-[Fe2B] |
-2.82426 |
-2.82503 |
icsd-107998-10-[MoNi4] |
-2.8231 |
-2.82213 |
icsd-42773-10-[IrGe4] |
-2.80986 |
-2.80043 |
icsd-652553-10-[AlCr2-MoSi2] |
-2.79017 |
-2.79035 |
icsd-58471-01-[CuZr2] |
-2.79017 |
-2.79034 |
icsd-58607-10-[Au2Ti] |
-2.79017 |
-2.79035 |
icsd-150584-10-[Fe13Ge3] |
-2.78925 |
-2.79575 |
icsd-420250-01-[LiPd2Tl] |
-2.78454 |
-2.78687 |
icsd-105191-01-[Al3Ti] |
-2.78453 |
-2.78687 |
icsd-609153-01-[AlPt3] |
-2.78447 |
-2.78526 |
icsd-648572-01-[CuInPt2] |
-2.78447 |
-2.78516 |
icsd-99787-10-[Fe3Pt] |
-2.78447 |
-2.78516 |
icsd-181127-10-[Auricupride-AuCu3] |
-2.78447 |
-2.78516 |
icsd-69199-01-[U3Si] |
-2.78447 |
-2.78527 |
icsd-416747-01-[Al3Zr] |
-2.78141 |
-2.78717 |
icsd-640726-10-[CuSmP2] |
-2.7814 |
-2.78717 |
icsd-649037-01-[Ni3Ti] |
-2.78133 |
-2.78672 |
icsd-643301-01-[Au3Cd] |
-2.78132 |
-2.78717 |
icsd-104506-01-[Ni3Sn] |
-2.77809 |
-2.77763 |
icsd-260285-01-[UCl3] |
-2.77799 |
-2.77763 |
icsd-58745-01-[Fe6Ge6Mg] |
-2.77323 |
-2.78237 |
icsd-611176-01-[Fe2P] |
-2.7657 |
-2.7759 |
icsd-105726-01-[Pd5Ti3] |
-2.76388 |
-2.76573 |
icsd-635208-10-[CoGa3] |
-2.7517 |
-2.73015 |
icsd-69557-10-[CdI2(hP9)] |
-2.74779 |
-2.74794 |
icsd-155842-10-[Co5Fe11] |
-2.74594 |
-2.75092 |
icsd-5258-01-[FeSi2] |
-2.74469 |
-2.74671 |
icsd-629380-10-[Al3Os2] |
-2.74289 |
-2.74782 |
icsd-629406-10-[Cu4Ti3] |
-2.7425 |
-2.73921 |
icsd-638227-10-[Fluorite-CaF2] |
-2.74069 |
-2.74204 |
icsd-248490-10-[Pt2Si] |
-2.74069 |
-2.74248 |
icsd-169457-10-[ZrH2] |
-2.74063 |
-2.74249 |
icsd-189695-01-[CuHg2Ti] |
-2.73379 |
-2.73506 |
icsd-188260-10-[Heusler-AlCu2Mn] |
-2.73379 |
-2.73506 |
icsd-610464-10-[PbClF/Cu2Sb] |
-2.73294 |
-2.73058 |
icsd-161133-10-[Fe2Si(HT)] |
-2.73166 |
-2.73114 |
icsd-105948-01-[InNi2] |
-2.73166 |
-2.73114 |
icsd-635642-01-[Hg5Mn2] |
-2.72958 |
-2.73985 |
icsd-639227-10-[Si2U3] |
-2.72938 |
-2.72784 |
icsd-16504-01-[CrSi2] |
-2.72553 |
-2.72526 |
icsd-409859-10-[La2Sb] |
-2.72548 |
-2.72451 |
icsd-239-10-[Cu3Se2] |
-2.72417 |
-2.72433 |
icsd-103995-01-[Ga3Ti2] |
-2.71969 |
-2.7209 |
icsd-167735-10-[Ru2B3] |
-2.71287 |
-2.71647 |
icsd-185626-10-[Al3Ni2] |
-2.69867 |
-2.70431 |
icsd-59586-01-[Pd5Th3] |
-2.69608 |
-2.69295 |
icsd-16606-01-[Nb3Te4] |
-2.68575 |
-2.67861 |
icsd-639879-10-[In5In4] |
-2.6831 |
-2.68742 |
icsd-42428-01-[Fe3Pt] |
-2.67109 |
-2.67071 |
icsd-108707-01-[HgMn] |
-2.67105 |
-2.66945 |
icsd-633467-01-[FeSe(tP2)] |
-2.67105 |
-2.66945 |
icsd-59508-01-[AuCu] |
-2.67104 |
-2.66945 |
icsd-106325-01-[BiIn] |
-2.67104 |
-2.67043 |
icsd-650527-01-[CsCl] |
-2.67088 |
-2.66946 |
icsd-102712-01-[CoU] |
-2.67058 |
-2.67046 |
icsd-108762-10-[Hg4Pt] |
-2.66713 |
-2.66918 |
icsd-639148-10-[NiHg4] |
-2.66713 |
-2.66918 |
icsd-424636-10-[MnGa4] |
-2.66713 |
-2.66918 |
icsd-106786-10-[Hg2Pt] |
-2.66689 |
-2.66231 |
icsd-246555-01-[Co2Nd] |
-2.6648 |
-2.66514 |
icsd-629406-01-[Cu4Ti3] |
-2.65795 |
-2.66234 |
icsd-625334-10-[Laves(2H)-MgZn2] |
-2.65266 |
-2.65197 |
icsd-16606-10-[Nb3Te4] |
-2.64706 |
-2.64066 |
icsd-635060-01-[Fersilicite-FeSi] |
-2.64107 |
-2.64112 |
icsd-55492-01-[BaPt] |
-2.63551 |
-2.63466 |
icsd-100654-01-[BiSe] |
-2.63494 |
-2.63546 |
icsd-105636-01-[PbU] |
-2.63237 |
-2.63378 |
icsd-611457-01-[NbAs] |
-2.63237 |
-2.63378 |
icsd-659829-01-[Al2Li3] |
-2.62901 |
-2.63057 |
icsd-659806-01-[GeTe(subcell)] |
-2.62884 |
-2.63022 |
icsd-639037-01-[HgIn] |
-2.62884 |
-2.63022 |
icsd-52294-01-[GeTe(supercell)] |
-2.62883 |
-2.63022 |
icsd-103995-10-[Ga3Ti2] |
-2.62801 |
-2.62875 |
icsd-629380-01-[Al3Os2] |
-2.6272 |
-2.62624 |
icsd-161109-01-[CoSn] |
-2.62414 |
-2.62733 |
icsd-610464-01-[PbClF/Cu2Sb] |
-2.623 |
-2.62324 |
icsd-409859-01-[La2Sb] |
-2.61967 |
-2.61985 |
icsd-639879-01-[In5In4] |
-2.6179 |
-2.63028 |
icsd-618702-01-[ScTe] |
-2.61766 |
-2.6172 |
icsd-611618-01-[TiAs] |
-2.61764 |
-2.61721 |
icsd-105726-10-[Pd5Ti3] |
-2.61412 |
-2.61584 |
icsd-659856-01-[LiPt] |
-2.6131 |
-2.61409 |
icsd-644708-01-[WC] |
-2.6131 |
-2.61409 |
icsd-655706-10-[Cu2Te(HT)] |
-2.61072 |
-2.61274 |
icsd-618295-01-[MoC1-x] |
-2.60933 |
-2.60913 |
icsd-168897-01-[LaI] |
-2.6087 |
-2.60436 |
icsd-626692-01-[Nickeline-NiAs] |
-2.60869 |
-2.60436 |
icsd-58607-01-[Au2Ti] |
-2.5911 |
-2.59053 |
icsd-652553-01-[AlCr2-MoSi2] |
-2.59067 |
-2.59048 |
icsd-59586-10-[Pd5Th3] |
-2.59058 |
-2.59974 |
icsd-58471-10-[CuZr2] |
-2.59045 |
-2.59017 |
icsd-260285-10-[UCl3] |
-2.58964 |
-2.58908 |
icsd-104506-10-[Ni3Sn] |
-2.58959 |
-2.58935 |
icsd-16504-10-[CrSi2] |
-2.58449 |
-2.58245 |
icsd-155842-01-[Co5Fe11] |
-2.57674 |
-2.57593 |
icsd-649037-10-[Ni3Ti] |
-2.57604 |
-2.57383 |
icsd-420250-10-[LiPd2Tl] |
-2.5684 |
-2.56874 |
icsd-105191-10-[Al3Ti] |
-2.56839 |
-2.56872 |
icsd-416747-10-[Al3Zr] |
-2.56532 |
-2.56319 |
icsd-640726-01-[CuSmP2] |
-2.56532 |
-2.56319 |
icsd-643301-10-[Au3Cd] |
-2.56531 |
-2.56319 |
icsd-189695-10-[CuHg2Ti] |
-2.56269 |
-2.56227 |
icsd-188260-01-[Heusler-AlCu2Mn] |
-2.56269 |
-2.56227 |
icsd-181127-01-[Auricupride-AuCu3] |
-2.56142 |
-2.5597 |
icsd-648572-10-[CuInPt2] |
-2.56142 |
-2.5597 |
icsd-99787-01-[Fe3Pt] |
-2.56124 |
-2.55967 |
icsd-69199-10-[U3Si] |
-2.56118 |
-2.56026 |
icsd-609153-10-[AlPt3] |
-2.56113 |
-2.56033 |
icsd-161133-01-[Fe2Si(HT)] |
-2.56046 |
-2.56156 |
icsd-105948-10-[InNi2] |
-2.56046 |
-2.56156 |
icsd-239-01-[Cu3Se2] |
-2.55858 |
-2.55804 |
icsd-107998-01-[MoNi4] |
-2.55581 |
-2.55498 |
icsd-240119-01-[AlLi] |
-2.55283 |
-2.55144 |
icsd-103775-01-[NaTl] |
-2.55282 |
-2.55233 |
icsd-659829-10-[Al2Li3] |
-2.54994 |
-2.56855 |
icsd-30446-10-[Fe2B] |
-2.54844 |
-2.54847 |
icsd-181788-01-[NaCl] |
-2.54782 |
-2.54716 |
icsd-42472-01-[CoO] |
-2.5478 |
-2.54726 |
icsd-105521-01-[Al5W] |
-2.54642 |
-2.5468 |
icsd-150584-01-[Fe13Ge3] |
-2.54568 |
-2.54048 |
icsd-189711-01-[Heusler(alloy)-AlLiSi] |
-2.53923 |
-2.53914 |
icsd-69557-01-[CdI2(hP9)] |
-2.53658 |
-2.53685 |
icsd-73839-01-[Ni3S2] |
-2.52886 |
-2.53135 |
icsd-611176-10-[Fe2P] |
-2.52878 |
-2.52767 |
icsd-189711-10-[Heusler(alloy)-AlLiSi] |
-2.52695 |
-2.52668 |
icsd-73839-10-[Ni3S2] |
-2.50969 |
-2.50691 |
icsd-42773-01-[IrGe4] |
-2.50747 |
-2.5131 |
icsd-639227-01-[Si2U3] |
-2.50526 |
-2.50466 |
icsd-625334-01-[Laves(2H)-MgZn2] |
-2.4968 |
-2.49819 |
icsd-185626-01-[Al3Ni2] |
-2.49639 |
-2.49671 |
icsd-97006-01-[InMg2] |
-2.49497 |
-2.49484 |
icsd-167735-01-[Ru2B3] |
-2.49418 |
-2.49447 |
icsd-635642-10-[Hg5Mn2] |
-2.49308 |
-2.46092 |
icsd-262070-01-[AlLi(hP8)] |
-2.48491 |
-2.48483 |
icsd-106786-01-[Hg2Pt] |
-2.48082 |
-2.48098 |
icsd-58745-10-[Fe6Ge6Mg] |
-2.47153 |
-2.47002 |
icsd-655706-01-[Cu2Te(HT)] |
-2.46754 |
-2.46757 |
icsd-246555-10-[Co2Nd] |
-2.41892 |
-2.41969 |
icsd-648748-01-[Pd4Se] |
-2.4128 |
-2.41202 |
icsd-169457-01-[ZrH2] |
-2.40407 |
-2.4046 |
icsd-248490-01-[Pt2Si] |
-2.40403 |
-2.40461 |
icsd-638227-01-[Fluorite-CaF2] |
-2.40403 |
-2.40458 |
icsd-5258-10-[FeSi2] |
-2.38838 |
-2.38726 |
icsd-635208-01-[CoGa3] |
-2.29007 |
-2.27804 |
icsd-639148-01-[NiHg4] |
-2.23071 |
-2.23046 |
icsd-108762-01-[Hg4Pt] |
-2.23071 |
-2.23046 |
icsd-424636-01-[MnGa4] |
-2.23071 |
-2.23046 |
V (A^3/atom) |
a (A) |
b (A) |
c (A) |
alpha |
beta |
gamma |
|
|---|---|---|---|---|---|---|---|
MLP |
23.825 |
7.251 |
7.251 |
7.251 |
90.0 |
90.0 |
90.0 |
DFT |
24.439 |
7.313 |
7.313 |
7.313 |
90.0 |
90.0 |
90.0 |
1 |
2 |
3 |
4 |
5 |
6 |
|---|---|---|---|---|---|
46.4 |
36.2 |
36.2 |
0.0 |
0.0 |
0.0 |
36.2 |
46.4 |
36.2 |
0.0 |
0.0 |
0.0 |
36.2 |
36.2 |
46.4 |
0.0 |
0.0 |
0.0 |
0.0 |
0.0 |
0.0 |
15.5 |
0.0 |
0.0 |
0.0 |
0.0 |
0.0 |
0.0 |
15.5 |
0.0 |
0.0 |
0.0 |
0.0 |
0.0 |
0.0 |
15.5 |
V (A^3/atom) |
a (A) |
b (A) |
c (A) |
alpha |
beta |
gamma |
|
|---|---|---|---|---|---|---|---|
MLP |
22.524 |
5.605 |
5.605 |
5.707 |
90.0 |
90.0 |
131.08 |
DFT |
22.271 |
5.049 |
5.049 |
6.052 |
90.0 |
90.0 |
120.0 |
1 |
2 |
3 |
4 |
5 |
6 |
|---|---|---|---|---|---|
86.6 |
49.2 |
41.9 |
0.0 |
0.0 |
-1.7 |
49.2 |
84.3 |
53.4 |
0.0 |
0.0 |
0.3 |
41.9 |
53.4 |
107.4 |
0.0 |
0.0 |
6.6 |
0.0 |
0.0 |
0.0 |
27.4 |
5.7 |
0.0 |
0.0 |
0.0 |
0.0 |
5.7 |
17.4 |
0.0 |
-1.7 |
0.3 |
6.6 |
0.0 |
0.0 |
18.4 |
V (A^3/atom) |
a (A) |
b (A) |
c (A) |
alpha |
beta |
gamma |
|
|---|---|---|---|---|---|---|---|
MLP |
23.825 |
3.625 |
3.625 |
3.625 |
90.0 |
90.0 |
90.0 |
DFT |
24.994 |
3.521 |
3.521 |
4.657 |
90.0 |
90.0 |
120.0 |
1 |
2 |
3 |
4 |
5 |
6 |
|---|---|---|---|---|---|
46.4 |
36.2 |
36.2 |
0.0 |
0.0 |
0.0 |
36.2 |
46.4 |
36.2 |
0.0 |
0.0 |
0.0 |
36.2 |
36.2 |
46.4 |
0.0 |
0.0 |
0.0 |
0.0 |
0.0 |
0.0 |
15.5 |
0.0 |
0.0 |
0.0 |
0.0 |
0.0 |
0.0 |
15.5 |
0.0 |
0.0 |
0.0 |
0.0 |
0.0 |
0.0 |
15.5 |
V (A^3/atom) |
a (A) |
b (A) |
c (A) |
alpha |
beta |
gamma |
|
|---|---|---|---|---|---|---|---|
MLP |
20.201 |
7.516 |
7.516 |
3.576 |
90.0 |
90.0 |
90.0 |
DFT |
20.021 |
6.924 |
6.924 |
4.176 |
90.0 |
90.0 |
90.0 |
1 |
2 |
3 |
4 |
5 |
6 |
|---|---|---|---|---|---|
99.2 |
54.4 |
73.5 |
0.0 |
0.0 |
11.8 |
54.4 |
99.2 |
73.5 |
0.0 |
0.0 |
-11.8 |
73.5 |
73.5 |
79.0 |
0.0 |
0.0 |
0.0 |
0.0 |
0.0 |
0.0 |
37.5 |
0.0 |
0.0 |
0.0 |
0.0 |
0.0 |
0.0 |
37.5 |
0.0 |
11.8 |
-11.8 |
0.0 |
0.0 |
0.0 |
18.1 |
V (A^3/atom) |
a (A) |
b (A) |
c (A) |
alpha |
beta |
gamma |
|
|---|---|---|---|---|---|---|---|
MLP |
28.519 |
4.805 |
4.805 |
9.881 |
90.0 |
90.0 |
90.0 |
DFT |
28.248 |
4.811 |
4.811 |
9.764 |
90.0 |
90.0 |
90.0 |
1 |
2 |
3 |
4 |
5 |
6 |
|---|---|---|---|---|---|
38.4 |
42.0 |
32.4 |
0.0 |
0.0 |
0.0 |
42.0 |
38.4 |
32.4 |
0.0 |
0.0 |
0.0 |
32.4 |
32.4 |
47.2 |
0.0 |
0.0 |
0.0 |
0.0 |
0.0 |
0.0 |
9.2 |
0.0 |
0.0 |
0.0 |
0.0 |
0.0 |
0.0 |
9.2 |
0.0 |
0.0 |
0.0 |
0.0 |
0.0 |
0.0 |
14.0 |
V (A^3/atom) |
a (A) |
b (A) |
c (A) |
alpha |
beta |
gamma |
|
|---|---|---|---|---|---|---|---|
MLP |
23.825 |
3.625 |
3.625 |
3.625 |
90.0 |
90.0 |
90.0 |
DFT |
24.432 |
3.656 |
3.656 |
3.656 |
90.0 |
90.0 |
90.0 |
1 |
2 |
3 |
4 |
5 |
6 |
|---|---|---|---|---|---|
46.4 |
36.2 |
36.2 |
0.0 |
0.0 |
0.0 |
36.2 |
46.4 |
36.2 |
0.0 |
0.0 |
0.0 |
36.2 |
36.2 |
46.4 |
0.0 |
0.0 |
0.0 |
0.0 |
0.0 |
0.0 |
15.5 |
0.0 |
0.0 |
0.0 |
0.0 |
0.0 |
0.0 |
15.5 |
0.0 |
0.0 |
0.0 |
0.0 |
0.0 |
0.0 |
15.5 |
V (A^3/atom) |
a (A) |
b (A) |
c (A) |
alpha |
beta |
gamma |
|
|---|---|---|---|---|---|---|---|
MLP |
20.931 |
4.375 |
4.375 |
4.375 |
90.0 |
90.0 |
90.0 |
DFT |
20.671 |
4.357 |
4.357 |
4.357 |
90.0 |
90.0 |
90.0 |
1 |
2 |
3 |
4 |
5 |
6 |
|---|---|---|---|---|---|
55.3 |
49.4 |
49.4 |
0.0 |
0.0 |
0.0 |
49.4 |
55.3 |
49.4 |
0.0 |
0.0 |
0.0 |
49.4 |
49.4 |
55.3 |
0.0 |
0.0 |
0.0 |
0.0 |
0.0 |
0.0 |
18.2 |
0.0 |
0.0 |
0.0 |
0.0 |
0.0 |
0.0 |
18.2 |
0.0 |
0.0 |
0.0 |
0.0 |
0.0 |
0.0 |
18.2 |
V (A^3/atom) |
a (A) |
b (A) |
c (A) |
alpha |
beta |
gamma |
|
|---|---|---|---|---|---|---|---|
MLP |
22.627 |
4.26 |
4.26 |
7.48 |
90.0 |
90.0 |
90.0 |
DFT |
22.621 |
4.298 |
4.298 |
7.346 |
90.0 |
90.0 |
90.0 |
1 |
2 |
3 |
4 |
5 |
6 |
|---|---|---|---|---|---|
38.1 |
38.4 |
34.6 |
0.0 |
0.0 |
0.0 |
38.4 |
38.1 |
34.6 |
0.0 |
0.0 |
0.0 |
34.6 |
34.6 |
69.4 |
0.0 |
0.0 |
0.0 |
0.0 |
0.0 |
0.0 |
6.4 |
0.0 |
0.0 |
0.0 |
0.0 |
0.0 |
0.0 |
6.4 |
0.0 |
0.0 |
0.0 |
0.0 |
0.0 |
0.0 |
25.7 |
V (A^3/atom) |
a (A) |
b (A) |
c (A) |
alpha |
beta |
gamma |
|
|---|---|---|---|---|---|---|---|
MLP |
28.462 |
4.79 |
4.79 |
19.845 |
90.0 |
90.0 |
90.0 |
DFT |
28.277 |
4.832 |
4.832 |
19.381 |
90.0 |
90.0 |
90.0 |
1 |
2 |
3 |
4 |
5 |
6 |
|---|---|---|---|---|---|
36.9 |
40.5 |
32.5 |
0.0 |
0.0 |
0.0 |
40.5 |
36.9 |
32.5 |
0.0 |
0.0 |
0.0 |
32.5 |
32.5 |
39.9 |
0.0 |
0.0 |
0.0 |
0.0 |
0.0 |
0.0 |
9.0 |
0.0 |
0.0 |
0.0 |
0.0 |
0.0 |
0.0 |
9.0 |
0.0 |
0.0 |
0.0 |
0.0 |
0.0 |
0.0 |
15.3 |
V (A^3/atom) |
a (A) |
b (A) |
c (A) |
alpha |
beta |
gamma |
|
|---|---|---|---|---|---|---|---|
MLP |
24.903 |
5.84 |
5.84 |
5.84 |
90.0 |
90.0 |
90.0 |
DFT |
24.908 |
5.841 |
5.841 |
5.841 |
90.0 |
90.0 |
90.0 |
1 |
2 |
3 |
4 |
5 |
6 |
|---|---|---|---|---|---|
39.4 |
39.8 |
39.8 |
0.0 |
0.0 |
0.0 |
39.8 |
39.4 |
39.8 |
0.0 |
0.0 |
0.0 |
39.8 |
39.8 |
39.4 |
0.0 |
0.0 |
0.0 |
0.0 |
0.0 |
0.0 |
-123084.2 |
0.0 |
0.0 |
0.0 |
0.0 |
0.0 |
0.0 |
-123084.1 |
0.0 |
0.0 |
0.0 |
0.0 |
0.0 |
0.0 |
-123084.2 |
V (A^3/atom) |
a (A) |
b (A) |
c (A) |
alpha |
beta |
gamma |
|
|---|---|---|---|---|---|---|---|
MLP |
25.722 |
7.845 |
7.845 |
4.179 |
90.0 |
90.0 |
90.0 |
DFT |
24.725 |
8.205 |
8.205 |
3.673 |
90.0 |
90.0 |
90.0 |
1 |
2 |
3 |
4 |
5 |
6 |
|---|---|---|---|---|---|
28.7 |
68.7 |
33.5 |
0.0 |
0.0 |
0.0 |
68.7 |
28.7 |
33.5 |
0.0 |
0.0 |
0.0 |
33.5 |
33.5 |
46.4 |
0.0 |
0.0 |
0.0 |
0.0 |
0.0 |
0.0 |
16.0 |
0.0 |
0.0 |
0.0 |
0.0 |
0.0 |
0.0 |
16.0 |
0.0 |
0.0 |
0.0 |
0.0 |
0.0 |
0.0 |
20.0 |
V (A^3/atom) |
a (A) |
b (A) |
c (A) |
alpha |
beta |
gamma |
|
|---|---|---|---|---|---|---|---|
MLP |
20.764 |
6.271 |
6.271 |
4.878 |
90.0 |
90.0 |
120.0 |
DFT |
20.653 |
6.234 |
6.234 |
4.909 |
90.0 |
90.0 |
120.0 |
1 |
2 |
3 |
4 |
5 |
6 |
|---|---|---|---|---|---|
62.4 |
53.9 |
49.9 |
0.0 |
0.0 |
0.0 |
53.9 |
62.4 |
49.9 |
0.0 |
0.0 |
0.0 |
49.9 |
49.9 |
89.0 |
0.0 |
0.0 |
0.0 |
0.0 |
0.0 |
0.0 |
21.5 |
0.0 |
0.0 |
0.0 |
0.0 |
0.0 |
0.0 |
21.5 |
0.0 |
0.0 |
0.0 |
0.0 |
0.0 |
0.0 |
4.2 |
V (A^3/atom) |
a (A) |
b (A) |
c (A) |
alpha |
beta |
gamma |
|
|---|---|---|---|---|---|---|---|
MLP |
27.118 |
3.749 |
15.017 |
8.67 |
90.0 |
90.0 |
90.0 |
DFT |
27.149 |
4.374 |
13.921 |
8.025 |
90.0 |
90.0 |
90.0 |
1 |
2 |
3 |
4 |
5 |
6 |
|---|---|---|---|---|---|
43.4 |
39.0 |
39.0 |
0.0 |
0.0 |
0.0 |
39.0 |
51.3 |
33.4 |
0.0 |
0.0 |
0.0 |
39.0 |
33.4 |
51.3 |
0.0 |
0.0 |
0.0 |
0.0 |
0.0 |
0.0 |
8.9 |
0.0 |
0.0 |
0.0 |
0.0 |
0.0 |
0.0 |
15.3 |
0.0 |
0.0 |
0.0 |
0.0 |
0.0 |
0.0 |
15.3 |
V (A^3/atom) |
a (A) |
b (A) |
c (A) |
alpha |
beta |
gamma |
|
|---|---|---|---|---|---|---|---|
MLP |
27.932 |
4.642 |
4.642 |
7.777 |
90.0 |
90.0 |
90.0 |
DFT |
27.722 |
4.542 |
4.542 |
8.063 |
90.0 |
90.0 |
90.0 |
1 |
2 |
3 |
4 |
5 |
6 |
|---|---|---|---|---|---|
49.0 |
39.5 |
33.0 |
0.0 |
0.0 |
0.0 |
39.5 |
49.0 |
33.0 |
0.0 |
0.0 |
0.0 |
33.0 |
33.0 |
66.5 |
0.0 |
0.0 |
0.0 |
0.0 |
0.0 |
0.0 |
7.5 |
0.0 |
0.0 |
0.0 |
0.0 |
0.0 |
0.0 |
7.5 |
0.0 |
0.0 |
0.0 |
0.0 |
0.0 |
0.0 |
19.8 |
V (A^3/atom) |
a (A) |
b (A) |
c (A) |
alpha |
beta |
gamma |
|
|---|---|---|---|---|---|---|---|
MLP |
28.984 |
7.444 |
7.444 |
4.831 |
90.0 |
90.0 |
120.0 |
DFT |
28.296 |
6.825 |
6.825 |
5.612 |
90.0 |
90.0 |
120.0 |
1 |
2 |
3 |
4 |
5 |
6 |
|---|---|---|---|---|---|
26.3 |
21.4 |
30.4 |
0.0 |
0.0 |
0.0 |
21.4 |
26.3 |
30.4 |
0.0 |
0.0 |
0.0 |
30.4 |
30.4 |
53.1 |
0.0 |
0.0 |
0.0 |
0.0 |
0.0 |
0.0 |
13.1 |
0.0 |
0.0 |
0.0 |
0.0 |
0.0 |
0.0 |
13.1 |
0.0 |
0.0 |
0.0 |
0.0 |
0.0 |
0.0 |
2.4 |
V (A^3/atom) |
a (A) |
b (A) |
c (A) |
alpha |
beta |
gamma |
|
|---|---|---|---|---|---|---|---|
MLP |
28.187 |
6.837 |
6.837 |
11.141 |
90.0 |
90.0 |
120.0 |
DFT |
28.215 |
6.846 |
6.846 |
11.121 |
90.0 |
90.0 |
120.0 |
1 |
2 |
3 |
4 |
5 |
6 |
|---|---|---|---|---|---|
49.4 |
39.5 |
26.1 |
0.0 |
0.0 |
0.1 |
39.5 |
49.4 |
26.1 |
0.0 |
0.0 |
0.0 |
26.1 |
26.1 |
41.9 |
0.0 |
0.0 |
0.0 |
0.0 |
0.0 |
0.0 |
3.0 |
0.0 |
0.0 |
0.0 |
0.0 |
0.0 |
0.0 |
3.0 |
0.0 |
0.1 |
0.0 |
0.0 |
0.0 |
0.0 |
5.0 |
V (A^3/atom) |
a (A) |
b (A) |
c (A) |
alpha |
beta |
gamma |
|
|---|---|---|---|---|---|---|---|
MLP |
22.157 |
7.923 |
7.923 |
3.229 |
90.0 |
90.0 |
100.34 |
DFT |
22.127 |
8.417 |
8.417 |
3.246 |
90.0 |
90.0 |
120.0 |
1 |
2 |
3 |
4 |
5 |
6 |
|---|---|---|---|---|---|
86.9 |
55.7 |
46.6 |
0.0 |
0.0 |
-2.7 |
55.7 |
84.5 |
45.6 |
0.0 |
0.0 |
-3.7 |
46.6 |
45.6 |
79.3 |
0.0 |
0.0 |
-2.9 |
0.0 |
0.0 |
0.0 |
12.8 |
-3.1 |
0.0 |
0.0 |
0.0 |
0.0 |
-3.1 |
13.9 |
0.0 |
-2.7 |
-3.7 |
-2.9 |
0.0 |
0.0 |
12.3 |
V (A^3/atom) |
a (A) |
b (A) |
c (A) |
alpha |
beta |
gamma |
|
|---|---|---|---|---|---|---|---|
MLP |
28.53 |
8.94 |
8.94 |
3.57 |
90.0 |
90.0 |
90.0 |
DFT |
29.027 |
7.922 |
7.922 |
4.625 |
90.0 |
90.0 |
90.0 |
1 |
2 |
3 |
4 |
5 |
6 |
|---|---|---|---|---|---|
53.9 |
32.3 |
39.4 |
0.0 |
0.0 |
7.7 |
32.3 |
46.3 |
36.5 |
0.0 |
0.0 |
-7.1 |
39.4 |
36.5 |
51.3 |
0.0 |
0.0 |
0.0 |
0.0 |
0.0 |
0.0 |
10.5 |
0.0 |
0.0 |
0.0 |
0.0 |
0.0 |
0.0 |
10.5 |
0.0 |
7.7 |
-7.1 |
0.0 |
0.0 |
0.0 |
3.9 |
V (A^3/atom) |
a (A) |
b (A) |
c (A) |
alpha |
beta |
gamma |
|
|---|---|---|---|---|---|---|---|
MLP |
22.125 |
5.755 |
5.755 |
9.255 |
90.0 |
90.0 |
120.0 |
DFT |
22.104 |
5.782 |
5.782 |
9.162 |
90.0 |
90.0 |
120.0 |
1 |
2 |
3 |
4 |
5 |
6 |
|---|---|---|---|---|---|
95.2 |
55.0 |
42.4 |
0.0 |
0.0 |
0.0 |
55.0 |
95.2 |
42.4 |
0.0 |
0.0 |
0.0 |
42.4 |
42.4 |
65.7 |
0.0 |
0.0 |
0.0 |
0.0 |
0.0 |
0.0 |
11.2 |
0.0 |
0.0 |
0.0 |
0.0 |
0.0 |
0.0 |
11.2 |
0.0 |
0.0 |
0.0 |
0.0 |
0.0 |
0.0 |
20.1 |
V (A^3/atom) |
a (A) |
b (A) |
c (A) |
alpha |
beta |
gamma |
|
|---|---|---|---|---|---|---|---|
MLP |
27.602 |
5.789 |
5.789 |
8.561 |
90.0 |
90.0 |
120.0 |
DFT |
27.207 |
5.789 |
5.789 |
8.437 |
90.0 |
90.0 |
120.0 |
1 |
2 |
3 |
4 |
5 |
6 |
|---|---|---|---|---|---|
44.9 |
35.6 |
31.8 |
0.0 |
0.0 |
0.0 |
35.6 |
44.9 |
31.8 |
0.0 |
0.0 |
0.0 |
31.8 |
31.8 |
64.0 |
0.0 |
0.0 |
0.0 |
0.0 |
0.0 |
0.0 |
1.6 |
0.0 |
0.0 |
0.0 |
0.0 |
0.0 |
0.0 |
1.6 |
0.0 |
0.0 |
0.0 |
0.0 |
0.0 |
0.0 |
4.6 |
V (A^3/atom) |
a (A) |
b (A) |
c (A) |
alpha |
beta |
gamma |
|
|---|---|---|---|---|---|---|---|
MLP |
28.349 |
7.683 |
7.683 |
7.683 |
90.0 |
90.0 |
90.0 |
DFT |
28.396 |
7.688 |
7.688 |
7.688 |
90.0 |
90.0 |
90.0 |
1 |
2 |
3 |
4 |
5 |
6 |
|---|---|---|---|---|---|
44.2 |
55.4 |
55.4 |
0.0 |
0.0 |
0.0 |
55.4 |
44.2 |
55.4 |
0.0 |
0.0 |
0.0 |
55.4 |
55.4 |
44.2 |
0.0 |
0.0 |
0.0 |
0.0 |
0.0 |
0.0 |
1.8 |
0.0 |
0.0 |
0.0 |
0.0 |
0.0 |
0.0 |
1.8 |
0.0 |
0.0 |
0.0 |
0.0 |
0.0 |
0.0 |
1.8 |
V (A^3/atom) |
a (A) |
b (A) |
c (A) |
alpha |
beta |
gamma |
|
|---|---|---|---|---|---|---|---|
MLP |
26.898 |
5.272 |
5.272 |
6.705 |
90.0 |
90.0 |
120.0 |
DFT |
27.142 |
5.324 |
5.324 |
6.634 |
90.0 |
90.0 |
120.0 |
1 |
2 |
3 |
4 |
5 |
6 |
|---|---|---|---|---|---|
52.4 |
42.8 |
44.2 |
0.0 |
0.0 |
0.0 |
42.8 |
52.4 |
44.2 |
0.0 |
0.0 |
0.0 |
44.2 |
44.2 |
74.9 |
0.0 |
0.0 |
0.0 |
0.0 |
0.0 |
0.0 |
7.7 |
0.0 |
0.0 |
0.0 |
0.0 |
0.0 |
0.0 |
7.7 |
0.0 |
0.0 |
0.0 |
0.0 |
0.0 |
0.0 |
4.8 |
V (A^3/atom) |
a (A) |
b (A) |
c (A) |
alpha |
beta |
gamma |
|
|---|---|---|---|---|---|---|---|
MLP |
28.173 |
4.83 |
4.83 |
4.83 |
90.0 |
90.0 |
90.0 |
DFT |
28.252 |
4.835 |
4.835 |
4.835 |
90.0 |
90.0 |
90.0 |
1 |
2 |
3 |
4 |
5 |
6 |
|---|---|---|---|---|---|
40.2 |
35.8 |
35.8 |
0.0 |
0.0 |
0.0 |
35.8 |
40.2 |
35.8 |
0.0 |
0.0 |
0.0 |
35.8 |
35.8 |
40.2 |
0.0 |
0.0 |
0.0 |
0.0 |
0.0 |
0.0 |
14.5 |
0.0 |
0.0 |
0.0 |
0.0 |
0.0 |
0.0 |
14.5 |
0.0 |
0.0 |
0.0 |
0.0 |
0.0 |
0.0 |
14.5 |
V (A^3/atom) |
a (A) |
b (A) |
c (A) |
alpha |
beta |
gamma |
|
|---|---|---|---|---|---|---|---|
MLP |
24.829 |
3.446 |
3.446 |
9.656 |
90.0 |
90.0 |
120.0 |
DFT |
24.901 |
3.478 |
3.478 |
9.51 |
90.0 |
90.0 |
120.0 |
1 |
2 |
3 |
4 |
5 |
6 |
|---|---|---|---|---|---|
55.2 |
53.2 |
62.0 |
0.0 |
0.0 |
0.0 |
53.2 |
55.2 |
62.0 |
0.0 |
0.0 |
0.0 |
62.0 |
62.0 |
86.6 |
0.0 |
0.0 |
0.0 |
0.0 |
0.0 |
0.0 |
6.2 |
0.0 |
0.0 |
0.0 |
0.0 |
0.0 |
0.0 |
6.2 |
0.0 |
0.0 |
0.0 |
0.0 |
0.0 |
0.0 |
1.0 |
V (A^3/atom) |
a (A) |
b (A) |
c (A) |
alpha |
beta |
gamma |
|
|---|---|---|---|---|---|---|---|
MLP |
20.617 |
4.374 |
4.374 |
8.62 |
90.0 |
90.0 |
90.0 |
DFT |
20.702 |
4.554 |
4.554 |
7.987 |
90.0 |
90.0 |
90.0 |
1 |
2 |
3 |
4 |
5 |
6 |
|---|---|---|---|---|---|
66.5 |
47.7 |
55.9 |
0.0 |
0.0 |
0.0 |
47.7 |
66.5 |
55.9 |
0.0 |
0.0 |
0.0 |
55.9 |
55.9 |
62.0 |
0.0 |
0.0 |
0.0 |
0.0 |
0.0 |
0.0 |
19.0 |
0.0 |
0.0 |
0.0 |
0.0 |
0.0 |
0.0 |
19.0 |
0.0 |
0.0 |
0.0 |
0.0 |
0.0 |
0.0 |
17.9 |
V (A^3/atom) |
a (A) |
b (A) |
c (A) |
alpha |
beta |
gamma |
|
|---|---|---|---|---|---|---|---|
MLP |
26.609 |
7.866 |
7.866 |
4.301 |
90.0 |
90.0 |
90.0 |
DFT |
26.254 |
8.319 |
8.319 |
3.793 |
90.0 |
90.0 |
90.0 |
1 |
2 |
3 |
4 |
5 |
6 |
|---|---|---|---|---|---|
46.9 |
20.4 |
23.9 |
0.0 |
0.0 |
0.0 |
20.4 |
46.9 |
23.9 |
0.0 |
0.0 |
0.0 |
23.9 |
23.9 |
39.7 |
0.0 |
0.0 |
0.0 |
0.0 |
0.0 |
0.0 |
17.4 |
0.0 |
0.0 |
0.0 |
0.0 |
0.0 |
0.0 |
17.4 |
0.0 |
0.0 |
0.0 |
0.0 |
0.0 |
0.0 |
13.7 |
V (A^3/atom) |
a (A) |
b (A) |
c (A) |
alpha |
beta |
gamma |
|
|---|---|---|---|---|---|---|---|
MLP |
27.616 |
11.139 |
6.659 |
6.275 |
90.0 |
90.0 |
134.61 |
DFT |
31.084 |
7.394 |
7.394 |
7.879 |
90.0 |
90.0 |
120.0 |
1 |
2 |
3 |
4 |
5 |
6 |
|---|---|---|---|---|---|
50.7 |
34.2 |
42.7 |
0.0 |
0.0 |
-1.8 |
34.2 |
54.8 |
34.4 |
0.0 |
0.0 |
-0.2 |
42.7 |
34.4 |
63.8 |
0.0 |
0.0 |
-2.3 |
0.0 |
0.0 |
0.0 |
7.2 |
-1.7 |
0.0 |
0.0 |
0.0 |
0.0 |
-1.7 |
14.8 |
0.0 |
-1.8 |
-0.2 |
-2.3 |
0.0 |
0.0 |
4.5 |
V (A^3/atom) |
a (A) |
b (A) |
c (A) |
alpha |
beta |
gamma |
|
|---|---|---|---|---|---|---|---|
MLP |
22.125 |
5.396 |
5.396 |
7.895 |
90.0 |
90.0 |
120.0 |
DFT |
21.984 |
5.358 |
5.358 |
7.957 |
90.0 |
90.0 |
120.0 |
1 |
2 |
3 |
4 |
5 |
6 |
|---|---|---|---|---|---|
85.7 |
61.9 |
48.1 |
0.0 |
0.0 |
0.0 |
61.9 |
85.7 |
48.1 |
0.0 |
0.0 |
0.0 |
48.1 |
48.1 |
78.5 |
0.0 |
0.0 |
0.0 |
0.0 |
0.0 |
0.0 |
-1.3 |
0.0 |
0.0 |
0.0 |
0.0 |
0.0 |
0.0 |
-1.3 |
0.0 |
0.0 |
0.0 |
0.0 |
0.0 |
0.0 |
11.9 |
V (A^3/atom) |
a (A) |
b (A) |
c (A) |
alpha |
beta |
gamma |
|
|---|---|---|---|---|---|---|---|
MLP |
25.153 |
7.383 |
7.383 |
7.383 |
90.0 |
90.0 |
90.0 |
DFT |
24.898 |
7.358 |
7.358 |
7.358 |
90.0 |
90.0 |
90.0 |
1 |
2 |
3 |
4 |
5 |
6 |
|---|---|---|---|---|---|
25.6 |
54.3 |
54.3 |
0.0 |
0.0 |
0.0 |
54.3 |
25.6 |
54.3 |
0.0 |
0.0 |
0.0 |
54.3 |
54.3 |
25.6 |
0.0 |
0.0 |
0.0 |
0.0 |
0.0 |
0.0 |
-12.7 |
0.0 |
0.0 |
0.0 |
0.0 |
0.0 |
0.0 |
-12.7 |
0.0 |
0.0 |
0.0 |
0.0 |
0.0 |
0.0 |
-12.7 |
V (A^3/atom) |
a (A) |
b (A) |
c (A) |
alpha |
beta |
gamma |
|
|---|---|---|---|---|---|---|---|
MLP |
20.815 |
6.231 |
6.231 |
9.905 |
90.0 |
90.0 |
120.0 |
DFT |
20.681 |
6.219 |
6.219 |
9.877 |
90.0 |
90.0 |
120.0 |
1 |
2 |
3 |
4 |
5 |
6 |
|---|---|---|---|---|---|
66.6 |
50.1 |
44.8 |
0.0 |
0.0 |
0.0 |
50.1 |
66.6 |
44.8 |
0.0 |
0.0 |
0.0 |
44.8 |
44.8 |
80.5 |
0.0 |
0.0 |
0.0 |
0.0 |
0.0 |
0.0 |
15.9 |
0.0 |
0.0 |
0.0 |
0.0 |
0.0 |
0.0 |
15.9 |
0.0 |
0.0 |
0.0 |
0.0 |
0.0 |
0.0 |
8.3 |
V (A^3/atom) |
a (A) |
b (A) |
c (A) |
alpha |
beta |
gamma |
|
|---|---|---|---|---|---|---|---|
MLP |
20.779 |
4.328 |
4.328 |
17.747 |
90.0 |
90.0 |
90.0 |
DFT |
20.625 |
4.336 |
4.336 |
17.548 |
90.0 |
90.0 |
90.0 |
1 |
2 |
3 |
4 |
5 |
6 |
|---|---|---|---|---|---|
59.5 |
52.1 |
42.3 |
0.0 |
0.0 |
0.0 |
52.1 |
59.5 |
42.3 |
0.0 |
0.0 |
0.0 |
42.3 |
42.3 |
48.6 |
0.0 |
0.0 |
0.0 |
0.0 |
0.0 |
0.0 |
16.7 |
0.0 |
0.0 |
0.0 |
0.0 |
0.0 |
0.0 |
16.7 |
0.0 |
0.0 |
0.0 |
0.0 |
0.0 |
0.0 |
22.9 |
V (A^3/atom) |
a (A) |
b (A) |
c (A) |
alpha |
beta |
gamma |
|
|---|---|---|---|---|---|---|---|
MLP |
23.825 |
3.625 |
3.625 |
3.625 |
90.0 |
90.0 |
90.0 |
DFT |
24.401 |
3.65 |
3.65 |
3.663 |
90.0 |
90.0 |
90.0 |
1 |
2 |
3 |
4 |
5 |
6 |
|---|---|---|---|---|---|
46.4 |
36.2 |
36.2 |
0.0 |
0.0 |
0.0 |
36.2 |
46.4 |
36.2 |
0.0 |
0.0 |
0.0 |
36.2 |
36.2 |
46.4 |
0.0 |
0.0 |
0.0 |
0.0 |
0.0 |
0.0 |
15.5 |
0.0 |
0.0 |
0.0 |
0.0 |
0.0 |
0.0 |
15.5 |
0.0 |
0.0 |
0.0 |
0.0 |
0.0 |
0.0 |
15.5 |
V (A^3/atom) |
a (A) |
b (A) |
c (A) |
alpha |
beta |
gamma |
|
|---|---|---|---|---|---|---|---|
MLP |
21.021 |
6.954 |
6.954 |
6.954 |
90.0 |
90.0 |
90.0 |
DFT |
20.747 |
6.924 |
6.924 |
6.924 |
90.0 |
90.0 |
90.0 |
1 |
2 |
3 |
4 |
5 |
6 |
|---|---|---|---|---|---|
62.8 |
62.7 |
62.7 |
0.0 |
0.0 |
0.0 |
62.7 |
62.8 |
62.7 |
0.0 |
0.0 |
0.0 |
62.7 |
62.7 |
62.8 |
0.0 |
0.0 |
0.0 |
0.0 |
0.0 |
0.0 |
18.1 |
0.0 |
0.0 |
0.0 |
0.0 |
0.0 |
0.0 |
18.1 |
0.0 |
0.0 |
0.0 |
0.0 |
0.0 |
0.0 |
18.1 |