Ca-Pb-2022-06-12

../../_images/pareto38.png

The current structure dataset comprises 37907 structures generated from elemental ICSD structures and binary ICSD prototype alloy structures. A more detailed procedure is found in Phys. Rev. B 102, 174104 (2020).

Predictions using Pareto optimal MLPs

../../_images/prediction-ecoh-volume38.png

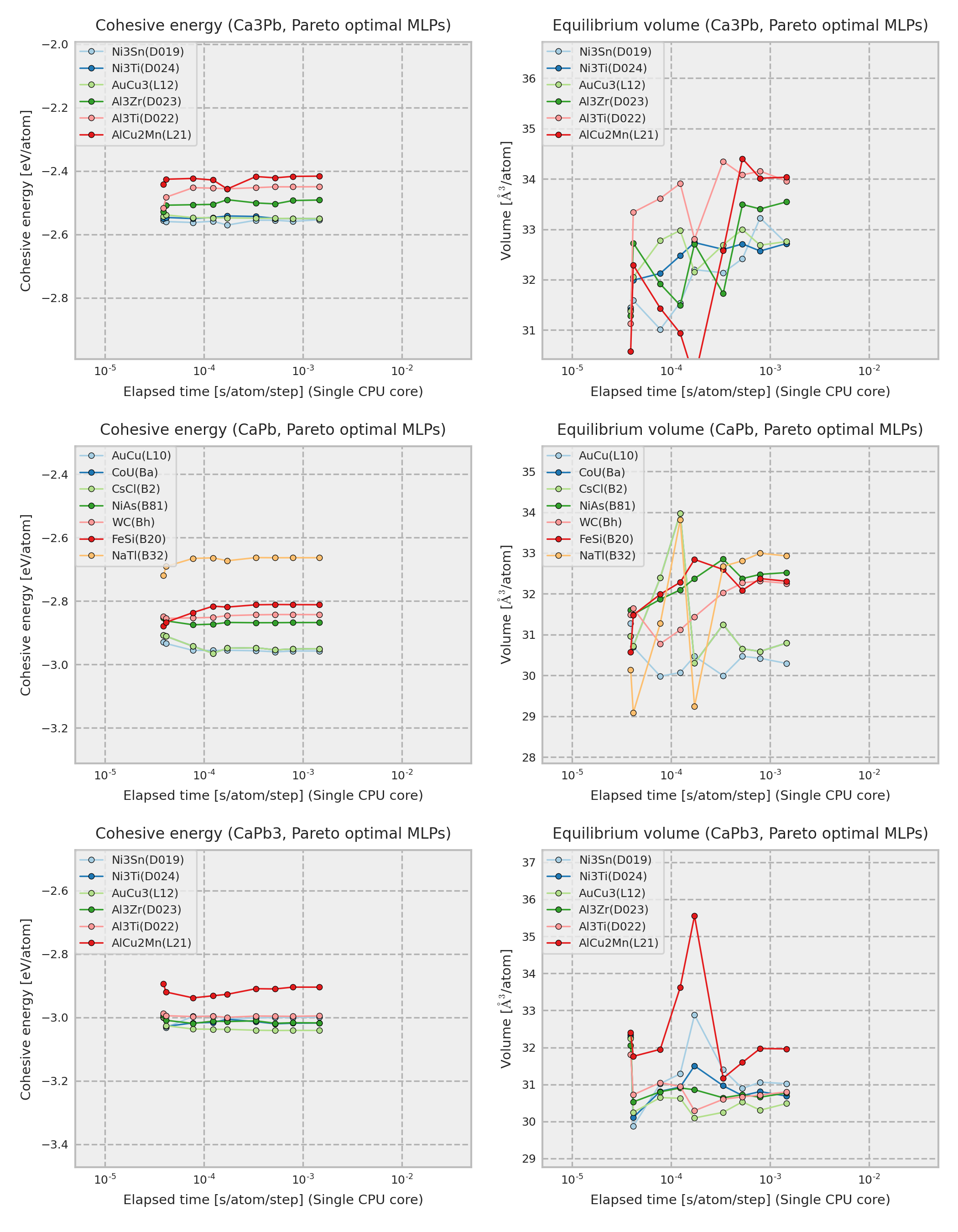
The cohesive energy and volume are obtained by performing a local structure optimization from the DFT equilibrium structure. In addition, the DFT equilibrium structure is obtained by optimizing a prototype structure included in ICSD, and the prototype is used as the structure legend in the figure. Therefore, the structure type of the converged structure is sometimes different from that shown in the legend even if the potential energy surface predicted by MLP is almost the same as the true one.

The other properties predicted by each Pareto optimal MLP are available from column Predictions in the following table.

Pareto optimals

Name

Time [ms] (1core/36cores)

RMSE [meV/atom]/[eV/A]

Predictions

Files

pair-1

0.027 / 0.005

125.26 / 0.3012

pair-33

0.028 / 0.005

25.102 / 0.1138

pair-37

0.039 / 0.005

24.222 / 0.1132

pair-49

0.041 / 0.005

15.439 / 0.0857

pair-50

0.078 / 0.008

8.1064 / 0.0694

predictions

mlp.lammps input log

pair-51

0.123 / 0.014

6.7299 / 0.0647

predictions

mlp.lammps input log

pair-52

0.172 / 0.019

6.6175 / 0.0670

predictions

mlp.lammps input log

pair-60

0.335 / 0.025

4.9676 / 0.0576

predictions

mlp.lammps input log

gtinv-182

0.525 / 0.035

3.3148 / 0.0392

predictions

mlp.lammps input log

gtinv-257

0.792 / 0.055

1.9819 / 0.0333

predictions

mlp.lammps input log

gtinv-269

1.464 / 0.086

1.8322 / 0.0362

predictions

mlp.lammps input log

Column “Time” shows the time required to compute the energy and forces for 1 MD step and 1 atom, which is estimated from a simulation of 10 runs for a structure with 284 atoms using a workstation with Intel(R) Xeon(R) CPU E5-2695 v4 @ 2.10GHz. Note that the MLPs should be carefully used for extreme structures. The MLPs often return meaningless values for them.

  • All Pareto optimal MLPs are available here.