Mg-Ca-2022-06-12

../../_images/pareto81.png

The current structure dataset comprises 38518 structures generated from elemental ICSD structures and binary ICSD prototype alloy structures. A more detailed procedure is found in Phys. Rev. B 102, 174104 (2020).

Predictions using Pareto optimal MLPs

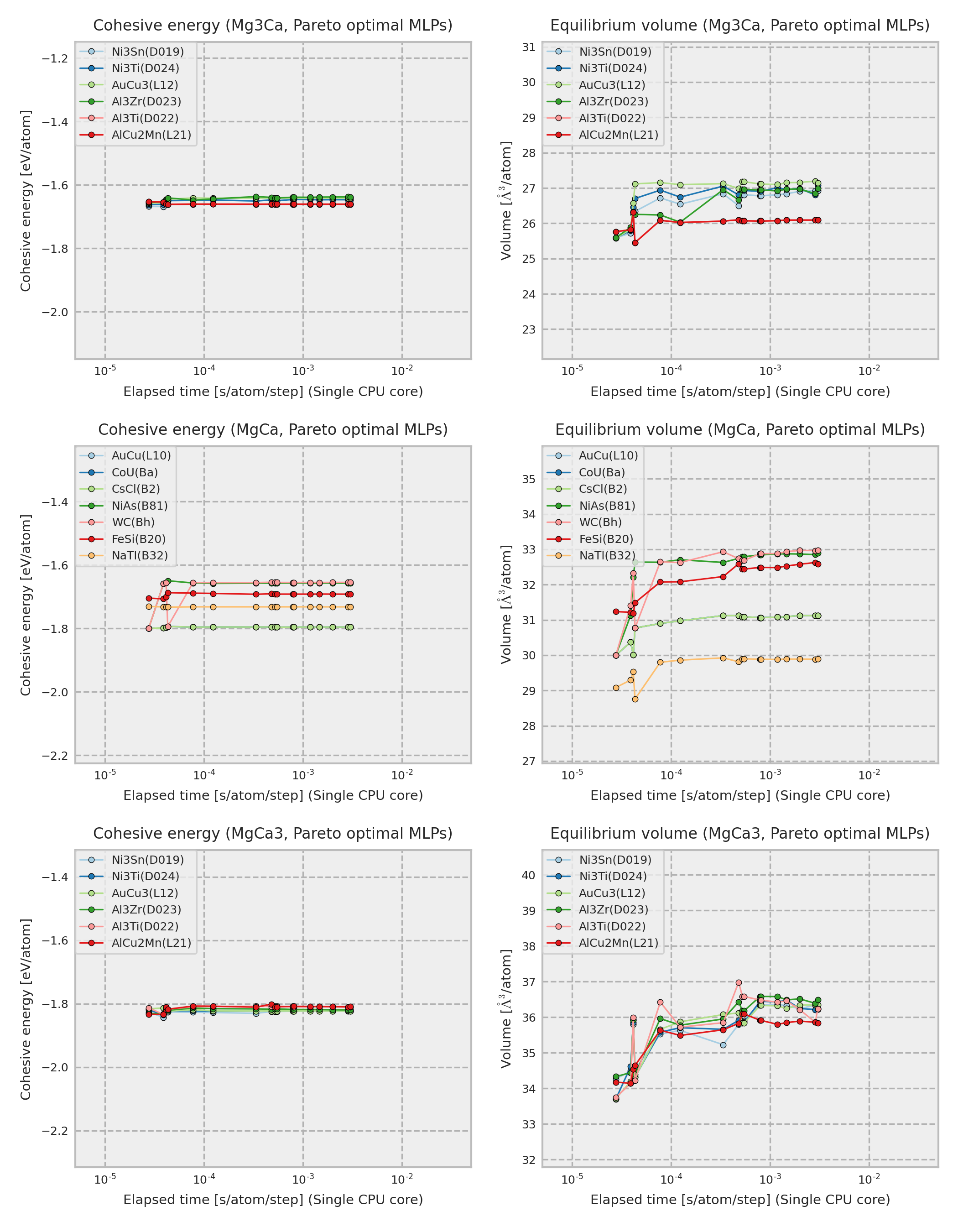
../../_images/prediction-ecoh-volume81.png

The cohesive energy and volume are obtained by performing a local structure optimization from the DFT equilibrium structure. In addition, the DFT equilibrium structure is obtained by optimizing a prototype structure included in ICSD, and the prototype is used as the structure legend in the figure. Therefore, the structure type of the converged structure is sometimes different from that shown in the legend even if the potential energy surface predicted by MLP is almost the same as the true one.

The other properties predicted by each Pareto optimal MLP are available from column Predictions in the following table.

Pareto optimals

Name

Time [ms] (1core/36cores)

RMSE [meV/atom]/[eV/A]

Predictions

Files

pair-1

0.027 / 0.005

44.767 / 0.1203

pair-17

0.027 / 0.005

37.872 / 0.1132

pair-33

0.028 / 0.005

8.1340 / 0.0502

pair-37

0.039 / 0.005

7.5010 / 0.0491

pair-49

0.041 / 0.005

5.9443 / 0.0432

predictions

mlp.lammps input log

pair-34

0.043 / 0.008

5.8240 / 0.0448

predictions

mlp.lammps input log

pair-50

0.078 / 0.008

3.3526 / 0.0347

predictions

mlp.lammps input log

pair-51

0.123 / 0.014

2.8121 / 0.0335

predictions

mlp.lammps input log

pair-60

0.335 / 0.025

2.3328 / 0.0301

predictions

mlp.lammps input log

gtinv-725

0.481 / 0.044

1.8011 / 0.0212

predictions

mlp.lammps input log

gtinv-182

0.525 / 0.035

1.3742 / 0.0164

predictions

mlp.lammps input log

gtinv-254

0.546 / 0.036

1.3742 / 0.0164

predictions

mlp.lammps input log

gtinv-257

0.792 / 0.055

0.9183 / 0.0131

predictions

mlp.lammps input log

gtinv-185

0.805 / 0.056

0.9183 / 0.0131

predictions

mlp.lammps input log

gtinv-416

1.187 / 0.076

0.8758 / 0.0123

predictions

mlp.lammps input log

gtinv-269

1.464 / 0.086

0.7972 / 0.0128

predictions

mlp.lammps input log

gtinv-272

1.986 / 0.120

0.7422 / 0.0120

predictions

mlp.lammps input log

gtinv-203

2.855 / 0.182

0.7194 / 0.0119

predictions

mlp.lammps input log

gtinv-441

3.028 / 0.181

0.7193 / 0.0121

predictions

mlp.lammps input log

Column “Time” shows the time required to compute the energy and forces for 1 MD step and 1 atom, which is estimated from a simulation of 10 runs for a structure with 284 atoms using a workstation with Intel(R) Xeon(R) CPU E5-2695 v4 @ 2.10GHz. Note that the MLPs should be carefully used for extreme structures. The MLPs often return meaningless values for them.

  • All Pareto optimal MLPs are available here.