gtinv-269 (Mg-Sc-2022-06-12)¶
Energy distribution
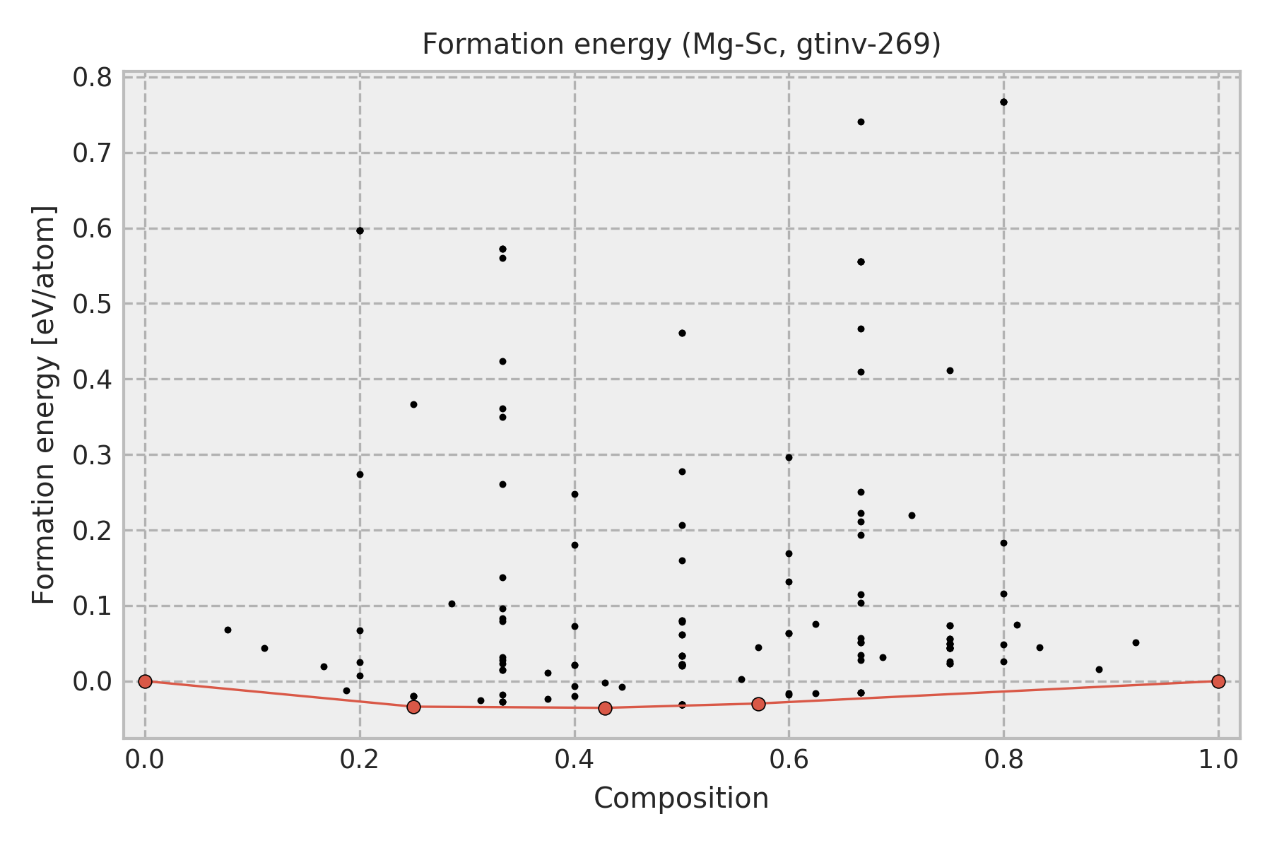
Convex hull (formation energy)
Stable structures
Composition |
Formation energy (eV/atom) |
Structure |
|---|---|---|
0.0 |
0.0 |
Mg |
0.25 |
-0.0339 |
icsd-104506-10-[Ni3Sn] |
0.25 |
-0.0339 |
icsd-260285-10-[UCl3] |
0.4286 |
-0.0355 |
icsd-629406-01-[Cu4Ti3] |
0.5714 |
-0.0298 |
icsd-629406-10-[Cu4Ti3] |
1.0 |
0.0 |
Sc |
The convex hull and stable structures are obtained by performing local structure optimizations only from structure prototypes used for estimating the MLP. Therefore, they are often inconsistent with experimental structures and/or theoretical globally-stable structures. In addition, the prototype is used as the structure legend in the figure. Therefore, the structure type of the converged structure is sometimes different from that shown in the legend even if the potential energy surface predicted by MLP is almost the same as the true one.
Equation of state for each structure
Prototype structure energy
Phonon density of states
Prototype structure energy, Lattice constants, Elastic constants
Prototype |
MLP (eV/atom) |
DFT (eV/atom) |
|---|---|---|
icsd-97006-10-[InMg2] |
-3.90562 |
-3.90633 |
icsd-105521-10-[Al5W] |
-3.72605 |
-3.72536 |
icsd-58745-01-[Fe6Ge6Mg] |
-3.69631 |
-3.69483 |
icsd-167735-10-[Ru2B3] |
-3.65204 |
-3.65191 |
icsd-150584-10-[Fe13Ge3] |
-3.6398 |
-3.63628 |
icsd-107998-10-[MoNi4] |
-3.63029 |
-3.62998 |
icsd-42773-10-[IrGe4] |
-3.54933 |
-3.54337 |
icsd-260285-01-[UCl3] |
-3.52174 |
-3.52182 |
icsd-104506-01-[Ni3Sn] |
-3.52174 |
-3.52182 |
icsd-649037-01-[Ni3Ti] |
-3.51905 |
-3.51245 |
icsd-181127-10-[Auricupride-AuCu3] |
-3.50059 |
-3.50023 |
icsd-99787-10-[Fe3Pt] |
-3.50059 |
-3.50021 |
icsd-648572-01-[CuInPt2] |
-3.50059 |
-3.50023 |
icsd-69199-01-[U3Si] |
-3.50059 |
-3.50023 |
icsd-609153-01-[AlPt3] |
-3.50059 |
-3.50023 |
icsd-648748-10-[Pd4Se] |
-3.49692 |
-3.49598 |
icsd-643301-01-[Au3Cd] |
-3.4937 |
-3.49279 |
icsd-640726-10-[CuSmP2] |
-3.49368 |
-3.49279 |
icsd-416747-01-[Al3Zr] |
-3.49367 |
-3.49279 |
icsd-420250-01-[LiPd2Tl] |
-3.48158 |
-3.48146 |
icsd-105191-01-[Al3Ti] |
-3.48156 |
-3.48147 |
icsd-189695-01-[CuHg2Ti] |
-3.47104 |
-3.47093 |
icsd-188260-10-[Heusler-AlCu2Mn] |
-3.47104 |
-3.47094 |
icsd-155842-10-[Co5Fe11] |
-3.3432 |
-3.34059 |
icsd-58471-01-[CuZr2] |
-3.33303 |
-3.33219 |
icsd-58607-10-[Au2Ti] |
-3.33271 |
-3.33245 |
icsd-652553-10-[AlCr2-MoSi2] |
-3.3327 |
-3.33245 |
icsd-69557-10-[CdI2(hP9)] |
-3.29 |
-3.28984 |
icsd-161133-10-[Fe2Si(HT)] |
-3.26569 |
-3.26612 |
icsd-105948-01-[InNi2] |
-3.26569 |
-3.26612 |
icsd-611176-01-[Fe2P] |
-3.26065 |
-3.26423 |
icsd-635642-01-[Hg5Mn2] |
-3.22708 |
-3.2304 |
icsd-105726-01-[Pd5Ti3] |
-3.21891 |
-3.21912 |
icsd-16504-01-[CrSi2] |
-3.21402 |
-3.21314 |
icsd-629380-10-[Al3Os2] |
-3.15113 |
-3.15122 |
icsd-635208-10-[CoGa3] |
-3.13124 |
-3.13488 |
icsd-59586-01-[Pd5Th3] |
-3.12893 |
-3.12823 |
icsd-30446-01-[Fe2B] |
-3.12486 |
-3.12468 |
icsd-103995-01-[Ga3Ti2] |
-3.11849 |
-3.11877 |
icsd-246555-10-[Co2Nd] |
-3.10677 |
-3.10736 |
icsd-409859-10-[La2Sb] |
-3.10241 |
-3.10236 |
icsd-610464-10-[PbClF/Cu2Sb] |
-3.10193 |
-3.10072 |
icsd-625334-01-[Laves(2H)-MgZn2] |
-3.09549 |
-3.09611 |
icsd-629406-10-[Cu4Ti3] |
-3.08768 |
-3.0879 |
icsd-659829-01-[Al2Li3] |
-3.07291 |
-3.07402 |
icsd-5258-01-[FeSi2] |
-3.06709 |
-3.067 |
icsd-639879-10-[In5In4] |
-3.01306 |
-3.01287 |
icsd-639227-10-[Si2U3] |
-3.00215 |
-3.00205 |
icsd-239-10-[Cu3Se2] |
-2.96719 |
-2.96699 |
icsd-108762-10-[Hg4Pt] |
-2.91349 |
-2.91427 |
icsd-639148-10-[NiHg4] |
-2.91349 |
-2.91427 |
icsd-424636-10-[MnGa4] |
-2.91346 |
-2.91424 |
icsd-655706-10-[Cu2Te(HT)] |
-2.90849 |
-2.90817 |
icsd-650527-01-[CsCl] |
-2.89655 |
-2.89645 |
icsd-106325-01-[BiIn] |
-2.89655 |
-2.89644 |
icsd-102712-01-[CoU] |
-2.89655 |
-2.89646 |
icsd-633467-01-[FeSe(tP2)] |
-2.89653 |
-2.89644 |
icsd-108707-01-[HgMn] |
-2.89651 |
-2.89644 |
icsd-59508-01-[AuCu] |
-2.89651 |
-2.89643 |
icsd-42428-01-[Fe3Pt] |
-2.89651 |
-2.89644 |
icsd-106786-10-[Hg2Pt] |
-2.85114 |
-2.85345 |
icsd-626692-01-[Nickeline-NiAs] |
-2.84411 |
-2.84436 |
icsd-168897-01-[LaI] |
-2.84411 |
-2.84435 |
icsd-100654-01-[BiSe] |
-2.84388 |
-2.84314 |
icsd-611618-01-[TiAs] |
-2.84315 |
-2.84321 |
icsd-618702-01-[ScTe] |
-2.84315 |
-2.84321 |
icsd-639037-01-[HgIn] |
-2.84193 |
-2.84206 |
icsd-659806-01-[GeTe(subcell)] |
-2.84193 |
-2.84206 |
icsd-52294-01-[GeTe(supercell)] |
-2.84193 |
-2.84206 |
icsd-185626-10-[Al3Ni2] |
-2.84026 |
-2.83961 |
icsd-611457-01-[NbAs] |
-2.80324 |
-2.80367 |
icsd-105636-01-[PbU] |
-2.80324 |
-2.80367 |
icsd-618295-01-[MoC1-x] |
-2.78676 |
-2.78676 |
icsd-240119-01-[AlLi] |
-2.78487 |
-2.78592 |
icsd-103775-01-[NaTl] |
-2.78487 |
-2.78592 |
icsd-659856-01-[LiPt] |
-2.78471 |
-2.7842 |
icsd-644708-01-[WC] |
-2.78453 |
-2.7842 |
icsd-55492-01-[BaPt] |
-2.78126 |
-2.78059 |
icsd-638227-10-[Fluorite-CaF2] |
-2.76222 |
-2.76238 |
icsd-248490-10-[Pt2Si] |
-2.76222 |
-2.76237 |
icsd-169457-10-[ZrH2] |
-2.76219 |
-2.76234 |
icsd-16606-01-[Nb3Te4] |
-2.7427 |
-2.74226 |
icsd-629406-01-[Cu4Ti3] |
-2.70595 |
-2.70615 |
icsd-635060-01-[Fersilicite-FeSi] |
-2.70476 |
-2.70491 |
icsd-16606-10-[Nb3Te4] |
-2.67252 |
-2.6728 |
icsd-639879-01-[In5In4] |
-2.67249 |
-2.67268 |
icsd-629380-01-[Al3Os2] |
-2.61173 |
-2.61195 |
icsd-103995-10-[Ga3Ti2] |
-2.59926 |
-2.59908 |
icsd-262070-01-[AlLi(hP8)] |
-2.58744 |
-2.58732 |
icsd-189711-01-[Heusler(alloy)-AlLiSi] |
-2.57739 |
-2.57773 |
icsd-659829-10-[Al2Li3] |
-2.57201 |
-2.57227 |
icsd-105726-10-[Pd5Ti3] |
-2.54836 |
-2.54838 |
icsd-73839-10-[Ni3S2] |
-2.54426 |
-2.54715 |
icsd-161109-01-[CoSn] |
-2.44496 |
-2.44404 |
icsd-59586-10-[Pd5Th3] |
-2.44349 |
-2.44325 |
icsd-652553-01-[AlCr2-MoSi2] |
-2.43962 |
-2.43947 |
icsd-58471-10-[CuZr2] |
-2.43962 |
-2.43947 |
icsd-58607-01-[Au2Ti] |
-2.43961 |
-2.43947 |
icsd-639227-01-[Si2U3] |
-2.41256 |
-2.41245 |
icsd-42472-01-[CoO] |
-2.40343 |
-2.40332 |
icsd-181788-01-[NaCl] |
-2.40327 |
-2.40331 |
icsd-161133-01-[Fe2Si(HT)] |
-2.39701 |
-2.39714 |
icsd-105948-10-[InNi2] |
-2.39701 |
-2.39714 |
icsd-239-01-[Cu3Se2] |
-2.39194 |
-2.392 |
icsd-69557-01-[CdI2(hP9)] |
-2.38912 |
-2.38929 |
icsd-625334-10-[Laves(2H)-MgZn2] |
-2.38435 |
-2.38451 |
icsd-246555-01-[Co2Nd] |
-2.38018 |
-2.38 |
icsd-155842-01-[Co5Fe11] |
-2.37883 |
-2.37821 |
icsd-185626-01-[Al3Ni2] |
-2.34462 |
-2.34372 |
icsd-611176-10-[Fe2P] |
-2.33253 |
-2.33332 |
icsd-16504-10-[CrSi2] |
-2.32799 |
-2.32815 |
icsd-610464-01-[PbClF/Cu2Sb] |
-2.27793 |
-2.27811 |
icsd-409859-01-[La2Sb] |
-2.2747 |
-2.27466 |
icsd-5258-10-[FeSi2] |
-2.27412 |
-2.27383 |
icsd-260285-10-[UCl3] |
-2.21914 |
-2.21906 |
icsd-104506-10-[Ni3Sn] |
-2.21913 |
-2.21906 |
icsd-609153-10-[AlPt3] |
-2.21732 |
-2.21693 |
icsd-181127-01-[Auricupride-AuCu3] |
-2.21732 |
-2.21692 |
icsd-648572-10-[CuInPt2] |
-2.21732 |
-2.21692 |
icsd-99787-01-[Fe3Pt] |
-2.2173 |
-2.21694 |
icsd-69199-10-[U3Si] |
-2.21729 |
-2.2169 |
icsd-420250-10-[LiPd2Tl] |
-2.21512 |
-2.21511 |
icsd-105191-10-[Al3Ti] |
-2.21512 |
-2.21511 |
icsd-189695-10-[CuHg2Ti] |
-2.21512 |
-2.21511 |
icsd-188260-01-[Heusler-AlCu2Mn] |
-2.21512 |
-2.21511 |
icsd-649037-10-[Ni3Ti] |
-2.21458 |
-2.21442 |
icsd-640726-01-[CuSmP2] |
-2.19998 |
-2.20001 |
icsd-416747-10-[Al3Zr] |
-2.19997 |
-2.20001 |
icsd-643301-10-[Au3Cd] |
-2.19995 |
-2.2 |
icsd-635642-10-[Hg5Mn2] |
-2.1795 |
-2.17977 |
icsd-30446-10-[Fe2B] |
-2.15065 |
-2.15066 |
icsd-73839-01-[Ni3S2] |
-2.11426 |
-2.11531 |
icsd-655706-01-[Cu2Te(HT)] |
-2.06214 |
-2.06286 |
icsd-106786-01-[Hg2Pt] |
-2.04987 |
-2.04966 |
icsd-167735-01-[Ru2B3] |
-2.04251 |
-2.04236 |
icsd-150584-01-[Fe13Ge3] |
-2.02815 |
-2.02816 |
icsd-107998-01-[MoNi4] |
-2.02424 |
-2.0242 |
icsd-189711-10-[Heusler(alloy)-AlLiSi] |
-1.98858 |
-1.98828 |
icsd-105521-01-[Al5W] |
-1.93896 |
-1.9389 |
icsd-42773-01-[IrGe4] |
-1.93804 |
-1.93659 |
icsd-169457-01-[ZrH2] |
-1.83947 |
-1.83928 |
icsd-248490-01-[Pt2Si] |
-1.83943 |
-1.83926 |
icsd-638227-01-[Fluorite-CaF2] |
-1.83943 |
-1.83928 |
icsd-635208-01-[CoGa3] |
-1.81646 |
-1.81458 |
icsd-648748-01-[Pd4Se] |
-1.77421 |
-1.77407 |
icsd-97006-01-[InMg2] |
-1.76416 |
-1.764 |
icsd-58745-10-[Fe6Ge6Mg] |
-1.64629 |
-1.64655 |
icsd-639148-01-[NiHg4] |
-1.4527 |
-1.45268 |
icsd-108762-01-[Hg4Pt] |
-1.4527 |
-1.45268 |
icsd-424636-01-[MnGa4] |
-1.4527 |
-1.45268 |
V (A^3/atom) |
a (A) |
b (A) |
c (A) |
alpha |
beta |
gamma |
|
|---|---|---|---|---|---|---|---|
MLP |
23.093 |
3.588 |
3.588 |
3.588 |
90.0 |
90.0 |
90.0 |
DFT |
23.067 |
3.587 |
3.587 |
3.587 |
90.0 |
90.0 |
90.0 |
1 |
2 |
3 |
4 |
5 |
6 |
|---|---|---|---|---|---|
77.5 |
45.3 |
45.3 |
0.0 |
0.0 |
0.0 |
45.3 |
77.5 |
45.3 |
0.0 |
0.0 |
0.0 |
45.3 |
45.3 |
77.5 |
0.0 |
0.0 |
0.0 |
0.0 |
0.0 |
0.0 |
50.4 |
0.0 |
0.0 |
0.0 |
0.0 |
0.0 |
0.0 |
50.4 |
0.0 |
0.0 |
0.0 |
0.0 |
0.0 |
0.0 |
50.4 |
V (A^3/atom) |
a (A) |
b (A) |
c (A) |
alpha |
beta |
gamma |
|
|---|---|---|---|---|---|---|---|
MLP |
22.725 |
5.085 |
5.085 |
6.088 |
90.0 |
90.0 |
120.0 |
DFT |
22.771 |
5.088 |
5.088 |
6.095 |
90.0 |
90.0 |
120.0 |
1 |
2 |
3 |
4 |
5 |
6 |
|---|---|---|---|---|---|
93.7 |
40.8 |
10.1 |
0.0 |
0.0 |
0.0 |
40.8 |
93.7 |
10.1 |
0.0 |
0.0 |
0.0 |
10.1 |
10.1 |
119.9 |
0.0 |
0.0 |
0.0 |
0.0 |
0.0 |
0.0 |
15.7 |
0.0 |
0.0 |
0.0 |
0.0 |
0.0 |
0.0 |
15.7 |
0.0 |
0.0 |
0.0 |
0.0 |
0.0 |
0.0 |
26.4 |
V (A^3/atom) |
a (A) |
b (A) |
c (A) |
alpha |
beta |
gamma |
|
|---|---|---|---|---|---|---|---|
MLP |
23.079 |
3.054 |
3.054 |
5.153 |
90.0 |
90.0 |
106.2 |
DFT |
23.751 |
3.195 |
3.195 |
5.374 |
90.0 |
90.0 |
120.0 |
1 |
2 |
3 |
4 |
5 |
6 |
|---|---|---|---|---|---|
74.8 |
20.5 |
27.9 |
0.0 |
0.0 |
-8.3 |
20.5 |
64.0 |
35.1 |
0.0 |
0.0 |
-10.1 |
27.9 |
35.1 |
92.0 |
0.0 |
0.0 |
12.5 |
0.0 |
0.0 |
0.0 |
35.6 |
15.7 |
0.0 |
0.0 |
0.0 |
0.0 |
15.7 |
26.5 |
0.0 |
-8.3 |
-10.1 |
12.5 |
0.0 |
0.0 |
21.6 |
V (A^3/atom) |
a (A) |
b (A) |
c (A) |
alpha |
beta |
gamma |
|
|---|---|---|---|---|---|---|---|
MLP |
23.092 |
7.0 |
7.0 |
4.713 |
90.0 |
90.0 |
90.0 |
DFT |
23.05 |
6.983 |
6.983 |
4.727 |
90.0 |
90.0 |
90.0 |
1 |
2 |
3 |
4 |
5 |
6 |
|---|---|---|---|---|---|
64.7 |
26.7 |
37.4 |
0.0 |
0.0 |
-21.8 |
26.7 |
48.3 |
32.5 |
0.0 |
0.0 |
18.6 |
37.4 |
32.5 |
75.5 |
0.0 |
0.0 |
0.0 |
0.0 |
0.0 |
0.0 |
31.9 |
0.0 |
0.0 |
0.0 |
0.0 |
0.0 |
0.0 |
31.9 |
0.0 |
-21.8 |
18.6 |
0.0 |
0.0 |
0.0 |
15.3 |
V (A^3/atom) |
a (A) |
b (A) |
c (A) |
alpha |
beta |
gamma |
|
|---|---|---|---|---|---|---|---|
MLP |
23.879 |
4.484 |
4.484 |
9.5 |
90.0 |
90.0 |
90.0 |
DFT |
23.829 |
4.604 |
4.604 |
8.994 |
90.0 |
90.0 |
90.0 |
1 |
2 |
3 |
4 |
5 |
6 |
|---|---|---|---|---|---|
49.6 |
56.2 |
39.0 |
0.0 |
0.0 |
0.0 |
56.2 |
49.6 |
39.0 |
0.0 |
0.0 |
0.0 |
39.0 |
39.0 |
75.4 |
0.0 |
0.0 |
0.0 |
0.0 |
0.0 |
0.0 |
32.1 |
0.0 |
0.0 |
0.0 |
0.0 |
0.0 |
0.0 |
32.1 |
0.0 |
0.0 |
0.0 |
0.0 |
0.0 |
0.0 |
38.6 |
V (A^3/atom) |
a (A) |
b (A) |
c (A) |
alpha |
beta |
gamma |
|
|---|---|---|---|---|---|---|---|
MLP |
23.093 |
3.588 |
3.588 |
3.588 |
90.0 |
90.0 |
90.0 |
DFT |
23.08 |
3.587 |
3.587 |
3.587 |
90.0 |
90.0 |
90.0 |
1 |
2 |
3 |
4 |
5 |
6 |
|---|---|---|---|---|---|
77.5 |
45.3 |
45.3 |
0.0 |
0.0 |
0.0 |
45.3 |
77.5 |
45.3 |
0.0 |
0.0 |
0.0 |
45.3 |
45.3 |
77.5 |
0.0 |
0.0 |
0.0 |
0.0 |
0.0 |
0.0 |
50.4 |
0.0 |
0.0 |
0.0 |
0.0 |
0.0 |
0.0 |
50.4 |
0.0 |
0.0 |
0.0 |
0.0 |
0.0 |
0.0 |
50.4 |
V (A^3/atom) |
a (A) |
b (A) |
c (A) |
alpha |
beta |
gamma |
|
|---|---|---|---|---|---|---|---|
MLP |
22.898 |
4.508 |
4.508 |
4.508 |
90.0 |
90.0 |
90.0 |
DFT |
22.89 |
4.507 |
4.507 |
4.507 |
90.0 |
90.0 |
90.0 |
1 |
2 |
3 |
4 |
5 |
6 |
|---|---|---|---|---|---|
58.7 |
38.3 |
38.3 |
0.0 |
0.0 |
0.0 |
38.3 |
58.7 |
38.3 |
0.0 |
0.0 |
0.0 |
38.3 |
38.3 |
58.7 |
0.0 |
0.0 |
0.0 |
0.0 |
0.0 |
0.0 |
40.9 |
0.0 |
0.0 |
0.0 |
0.0 |
0.0 |
0.0 |
40.9 |
0.0 |
0.0 |
0.0 |
0.0 |
0.0 |
0.0 |
40.9 |
V (A^3/atom) |
a (A) |
b (A) |
c (A) |
alpha |
beta |
gamma |
|
|---|---|---|---|---|---|---|---|
MLP |
23.097 |
5.012 |
3.156 |
8.761 |
90.0 |
90.0 |
90.0 |
DFT |
23.853 |
4.168 |
4.168 |
8.239 |
90.0 |
90.0 |
90.0 |
1 |
2 |
3 |
4 |
5 |
6 |
|---|---|---|---|---|---|
81.5 |
28.1 |
18.0 |
0.0 |
0.0 |
0.0 |
28.1 |
77.7 |
25.2 |
0.0 |
0.0 |
0.0 |
18.0 |
25.2 |
74.3 |
0.0 |
0.0 |
0.0 |
0.0 |
0.0 |
0.0 |
23.0 |
0.0 |
0.0 |
0.0 |
0.0 |
0.0 |
0.0 |
31.2 |
0.0 |
0.0 |
0.0 |
0.0 |
0.0 |
0.0 |
32.1 |
V (A^3/atom) |
a (A) |
b (A) |
c (A) |
alpha |
beta |
gamma |
|
|---|---|---|---|---|---|---|---|
MLP |
23.778 |
4.52 |
4.52 |
18.626 |
90.0 |
90.0 |
90.0 |
DFT |
23.848 |
4.589 |
4.589 |
18.121 |
90.0 |
90.0 |
90.0 |
1 |
2 |
3 |
4 |
5 |
6 |
|---|---|---|---|---|---|
56.0 |
47.6 |
40.3 |
0.0 |
0.0 |
0.0 |
47.6 |
56.0 |
40.3 |
0.0 |
0.0 |
0.0 |
40.3 |
40.3 |
65.3 |
0.0 |
0.0 |
0.0 |
0.0 |
0.0 |
0.0 |
33.9 |
0.0 |
0.0 |
0.0 |
0.0 |
0.0 |
0.0 |
33.9 |
0.0 |
0.0 |
0.0 |
0.0 |
0.0 |
0.0 |
36.1 |
V (A^3/atom) |
a (A) |
b (A) |
c (A) |
alpha |
beta |
gamma |
|
|---|---|---|---|---|---|---|---|
MLP |
24.143 |
5.78 |
5.78 |
5.78 |
90.0 |
90.0 |
90.0 |
DFT |
24.176 |
5.783 |
5.783 |
5.783 |
90.0 |
90.0 |
90.0 |
1 |
2 |
3 |
4 |
5 |
6 |
|---|---|---|---|---|---|
2.2 |
77.1 |
77.1 |
0.0 |
0.0 |
0.0 |
77.1 |
2.2 |
77.1 |
0.0 |
0.0 |
0.0 |
77.1 |
77.1 |
2.2 |
0.0 |
0.0 |
0.0 |
0.0 |
0.0 |
0.0 |
-25.3 |
0.0 |
0.0 |
0.0 |
0.0 |
0.0 |
0.0 |
-25.3 |
0.0 |
0.0 |
0.0 |
0.0 |
0.0 |
0.0 |
-25.3 |
V (A^3/atom) |
a (A) |
b (A) |
c (A) |
alpha |
beta |
gamma |
|
|---|---|---|---|---|---|---|---|
MLP |
24.529 |
8.485 |
8.485 |
3.407 |
90.0 |
90.0 |
90.0 |
DFT |
24.611 |
8.499 |
8.499 |
3.407 |
90.0 |
90.0 |
90.0 |
1 |
2 |
3 |
4 |
5 |
6 |
|---|---|---|---|---|---|
160897.6 |
80442.8 |
20536.2 |
0.0 |
0.0 |
-6.6 |
80442.8 |
59.9 |
32.2 |
0.0 |
0.0 |
9.2 |
20536.2 |
32.2 |
52.3 |
0.0 |
0.0 |
0.0 |
0.0 |
0.0 |
0.0 |
23.2 |
0.0 |
0.0 |
0.0 |
0.0 |
0.0 |
0.0 |
23.2 |
0.0 |
-6.6 |
9.2 |
0.0 |
0.0 |
0.0 |
13.1 |
V (A^3/atom) |
a (A) |
b (A) |
c (A) |
alpha |
beta |
gamma |
|
|---|---|---|---|---|---|---|---|
MLP |
22.821 |
6.427 |
6.427 |
5.104 |
90.0 |
90.0 |
120.0 |
DFT |
22.808 |
6.433 |
6.433 |
5.092 |
90.0 |
90.0 |
120.0 |
1 |
2 |
3 |
4 |
5 |
6 |
|---|---|---|---|---|---|
70.8 |
37.6 |
17.9 |
0.0 |
0.0 |
0.0 |
37.6 |
70.8 |
17.9 |
0.0 |
0.0 |
0.0 |
17.9 |
17.9 |
97.8 |
0.0 |
0.0 |
0.0 |
0.0 |
0.0 |
0.0 |
25.2 |
0.0 |
0.0 |
0.0 |
0.0 |
0.0 |
0.0 |
25.2 |
0.0 |
0.0 |
0.0 |
0.0 |
0.0 |
0.0 |
16.6 |
V (A^3/atom) |
a (A) |
b (A) |
c (A) |
alpha |
beta |
gamma |
|
|---|---|---|---|---|---|---|---|
MLP |
23.755 |
3.142 |
15.281 |
8.905 |
90.0 |
90.0 |
90.0 |
DFT |
23.841 |
3.135 |
15.356 |
8.913 |
90.0 |
90.0 |
90.0 |
1 |
2 |
3 |
4 |
5 |
6 |
|---|---|---|---|---|---|
83.0 |
32.5 |
30.5 |
0.0 |
0.0 |
0.0 |
32.5 |
79.7 |
34.2 |
0.0 |
0.0 |
0.0 |
30.5 |
34.2 |
95.0 |
0.0 |
0.0 |
0.0 |
0.0 |
0.0 |
0.0 |
23.0 |
0.0 |
0.0 |
0.0 |
0.0 |
0.0 |
0.0 |
17.1 |
0.0 |
0.0 |
0.0 |
0.0 |
0.0 |
0.0 |
15.6 |
V (A^3/atom) |
a (A) |
b (A) |
c (A) |
alpha |
beta |
gamma |
|
|---|---|---|---|---|---|---|---|
MLP |
23.35 |
5.083 |
3.367 |
8.358 |
78.38 |
90.0 |
90.0 |
DFT |
25.17 |
4.392 |
4.392 |
7.829 |
90.0 |
90.0 |
90.0 |
1 |
2 |
3 |
4 |
5 |
6 |
|---|---|---|---|---|---|
108.1 |
50.5 |
19.0 |
0.0 |
0.0 |
0.0 |
50.5 |
107.9 |
60.6 |
0.0 |
0.0 |
0.0 |
19.0 |
60.6 |
66.8 |
0.0 |
0.0 |
0.0 |
0.0 |
0.0 |
0.0 |
43.5 |
0.0 |
0.0 |
0.0 |
0.0 |
0.0 |
0.0 |
23.9 |
-2.5 |
0.0 |
0.0 |
0.0 |
0.0 |
-2.5 |
36.1 |
V (A^3/atom) |
a (A) |
b (A) |
c (A) |
alpha |
beta |
gamma |
|
|---|---|---|---|---|---|---|---|
MLP |
23.746 |
6.492 |
6.492 |
5.205 |
90.0 |
90.0 |
120.0 |
DFT |
23.782 |
6.491 |
6.491 |
5.214 |
90.0 |
90.0 |
120.0 |
1 |
2 |
3 |
4 |
5 |
6 |
|---|---|---|---|---|---|
102.6 |
47.4 |
29.3 |
0.0 |
0.0 |
0.0 |
47.4 |
102.6 |
29.3 |
0.0 |
0.0 |
0.0 |
29.3 |
29.3 |
76.3 |
0.0 |
0.0 |
0.0 |
0.0 |
0.0 |
0.0 |
23.2 |
0.0 |
0.0 |
0.0 |
0.0 |
0.0 |
0.0 |
23.2 |
0.0 |
0.0 |
0.0 |
0.0 |
0.0 |
0.0 |
27.6 |
V (A^3/atom) |
a (A) |
b (A) |
c (A) |
alpha |
beta |
gamma |
|
|---|---|---|---|---|---|---|---|
MLP |
23.83 |
6.484 |
6.484 |
10.471 |
90.0 |
90.0 |
120.0 |
DFT |
23.796 |
6.479 |
6.479 |
10.472 |
90.0 |
90.0 |
120.0 |
1 |
2 |
3 |
4 |
5 |
6 |
|---|---|---|---|---|---|
93.1 |
44.8 |
35.3 |
0.0 |
0.0 |
0.0 |
44.8 |
93.1 |
35.3 |
0.0 |
0.0 |
0.0 |
35.3 |
35.3 |
96.3 |
0.0 |
0.0 |
0.0 |
0.0 |
0.0 |
0.0 |
22.8 |
0.0 |
0.0 |
0.0 |
0.0 |
0.0 |
0.0 |
22.8 |
0.0 |
0.0 |
0.0 |
0.0 |
0.0 |
0.0 |
24.1 |
V (A^3/atom) |
a (A) |
b (A) |
c (A) |
alpha |
beta |
gamma |
|
|---|---|---|---|---|---|---|---|
MLP |
23.16 |
8.877 |
8.877 |
3.054 |
90.0 |
90.0 |
120.0 |
DFT |
23.248 |
8.91 |
8.91 |
3.044 |
90.0 |
90.0 |
120.0 |
1 |
2 |
3 |
4 |
5 |
6 |
|---|---|---|---|---|---|
86.1 |
31.4 |
18.5 |
-58012.7 |
0.0 |
0.0 |
31.4 |
86.1 |
18.5 |
-58012.7 |
0.0 |
0.0 |
18.5 |
18.5 |
78.3 |
56521.9 |
0.0 |
0.0 |
-58012.7 |
-58012.7 |
56521.9 |
-4.0 |
0.0 |
0.0 |
0.0 |
0.0 |
0.0 |
0.0 |
-20.6 |
0.0 |
0.0 |
0.0 |
0.0 |
0.0 |
0.0 |
27.3 |
V (A^3/atom) |
a (A) |
b (A) |
c (A) |
alpha |
beta |
gamma |
|
|---|---|---|---|---|---|---|---|
MLP |
24.006 |
7.238 |
7.238 |
4.583 |
90.0 |
90.0 |
90.0 |
DFT |
24.062 |
7.172 |
7.172 |
4.678 |
90.0 |
90.0 |
90.0 |
1 |
2 |
3 |
4 |
5 |
6 |
|---|---|---|---|---|---|
77.8 |
36.4 |
44.1 |
0.0 |
0.0 |
-12.9 |
36.4 |
77.8 |
44.1 |
0.0 |
0.0 |
12.9 |
44.1 |
44.1 |
69.7 |
0.0 |
0.0 |
0.0 |
0.0 |
0.0 |
0.0 |
35.2 |
0.0 |
0.0 |
0.0 |
0.0 |
0.0 |
0.0 |
35.2 |
0.0 |
-12.9 |
12.9 |
0.0 |
0.0 |
0.0 |
24.9 |
V (A^3/atom) |
a (A) |
b (A) |
c (A) |
alpha |
beta |
gamma |
|
|---|---|---|---|---|---|---|---|
MLP |
23.135 |
5.831 |
5.831 |
9.428 |
90.0 |
90.0 |
120.0 |
DFT |
23.221 |
5.835 |
5.835 |
9.449 |
90.0 |
90.0 |
120.0 |
1 |
2 |
3 |
4 |
5 |
6 |
|---|---|---|---|---|---|
82.7 |
34.2 |
33.0 |
0.0 |
0.0 |
0.0 |
34.2 |
82.7 |
33.0 |
0.0 |
0.0 |
0.0 |
33.0 |
33.0 |
89.5 |
0.0 |
0.0 |
0.0 |
0.0 |
0.0 |
0.0 |
18.0 |
0.0 |
0.0 |
0.0 |
0.0 |
0.0 |
0.0 |
18.0 |
0.0 |
0.0 |
0.0 |
0.0 |
0.0 |
0.0 |
24.2 |
V (A^3/atom) |
a (A) |
b (A) |
c (A) |
alpha |
beta |
gamma |
|
|---|---|---|---|---|---|---|---|
MLP |
23.82 |
5.558 |
5.558 |
8.012 |
90.0 |
90.0 |
120.0 |
DFT |
23.723 |
5.539 |
5.539 |
8.034 |
90.0 |
90.0 |
120.0 |
1 |
2 |
3 |
4 |
5 |
6 |
|---|---|---|---|---|---|
78.9 |
39.7 |
17.7 |
0.0 |
0.0 |
0.0 |
39.7 |
78.9 |
17.7 |
0.0 |
0.0 |
0.0 |
17.7 |
17.7 |
104.7 |
0.0 |
0.0 |
0.0 |
0.0 |
0.0 |
0.0 |
-56.1 |
0.0 |
0.0 |
0.0 |
0.0 |
0.0 |
0.0 |
-56.1 |
0.0 |
0.0 |
0.0 |
0.0 |
0.0 |
0.0 |
19.6 |
V (A^3/atom) |
a (A) |
b (A) |
c (A) |
alpha |
beta |
gamma |
|
|---|---|---|---|---|---|---|---|
MLP |
23.714 |
7.24 |
7.24 |
7.24 |
90.0 |
90.0 |
90.0 |
DFT |
23.703 |
7.238 |
7.238 |
7.238 |
90.0 |
90.0 |
90.0 |
1 |
2 |
3 |
4 |
5 |
6 |
|---|---|---|---|---|---|
61.4 |
37.3 |
37.3 |
0.0 |
0.0 |
0.0 |
37.3 |
61.4 |
37.3 |
0.0 |
0.0 |
0.0 |
37.3 |
37.3 |
61.4 |
0.0 |
0.0 |
0.0 |
0.0 |
0.0 |
0.0 |
40.2 |
0.0 |
0.0 |
0.0 |
0.0 |
0.0 |
0.0 |
40.2 |
0.0 |
0.0 |
0.0 |
0.0 |
0.0 |
0.0 |
40.2 |
V (A^3/atom) |
a (A) |
b (A) |
c (A) |
alpha |
beta |
gamma |
|
|---|---|---|---|---|---|---|---|
MLP |
23.598 |
5.092 |
5.092 |
6.305 |
90.0 |
90.0 |
120.0 |
DFT |
23.787 |
5.085 |
5.085 |
6.372 |
90.0 |
90.0 |
120.0 |
1 |
2 |
3 |
4 |
5 |
6 |
|---|---|---|---|---|---|
89.2 |
36.7 |
30.1 |
0.0 |
0.0 |
0.0 |
36.7 |
89.2 |
30.1 |
0.0 |
0.0 |
0.0 |
30.1 |
30.1 |
107.1 |
0.0 |
0.0 |
0.0 |
0.0 |
0.0 |
0.0 |
17.4 |
0.0 |
0.0 |
0.0 |
0.0 |
0.0 |
0.0 |
17.4 |
0.0 |
0.0 |
0.0 |
0.0 |
0.0 |
0.0 |
26.3 |
V (A^3/atom) |
a (A) |
b (A) |
c (A) |
alpha |
beta |
gamma |
|
|---|---|---|---|---|---|---|---|
MLP |
23.809 |
4.567 |
4.567 |
4.567 |
90.0 |
90.0 |
90.0 |
DFT |
23.834 |
4.568 |
4.568 |
4.568 |
90.0 |
90.0 |
90.0 |
1 |
2 |
3 |
4 |
5 |
6 |
|---|---|---|---|---|---|
54.1 |
40.5 |
40.5 |
0.0 |
0.0 |
0.0 |
40.5 |
54.1 |
40.5 |
0.0 |
0.0 |
0.0 |
40.5 |
40.5 |
54.1 |
0.0 |
0.0 |
0.0 |
0.0 |
0.0 |
0.0 |
33.6 |
0.0 |
0.0 |
0.0 |
0.0 |
0.0 |
0.0 |
33.6 |
0.0 |
0.0 |
0.0 |
0.0 |
0.0 |
0.0 |
33.6 |
V (A^3/atom) |
a (A) |
b (A) |
c (A) |
alpha |
beta |
gamma |
|
|---|---|---|---|---|---|---|---|
MLP |
23.767 |
3.254 |
3.254 |
10.369 |
90.0 |
90.0 |
120.0 |
DFT |
23.777 |
3.248 |
3.248 |
10.409 |
90.0 |
90.0 |
120.0 |
1 |
2 |
3 |
4 |
5 |
6 |
|---|---|---|---|---|---|
79.9 |
38.0 |
36.0 |
0.0 |
0.0 |
0.0 |
38.0 |
79.9 |
36.0 |
0.0 |
0.0 |
0.0 |
36.0 |
36.0 |
94.9 |
0.0 |
0.0 |
0.0 |
0.0 |
0.0 |
0.0 |
33.6 |
0.0 |
0.0 |
0.0 |
0.0 |
0.0 |
0.0 |
33.6 |
0.0 |
0.0 |
0.0 |
0.0 |
0.0 |
0.0 |
20.9 |
V (A^3/atom) |
a (A) |
b (A) |
c (A) |
alpha |
beta |
gamma |
|
|---|---|---|---|---|---|---|---|
MLP |
22.503 |
5.03 |
5.03 |
7.114 |
90.0 |
90.0 |
90.0 |
DFT |
22.497 |
5.035 |
5.035 |
7.099 |
90.0 |
90.0 |
90.0 |
1 |
2 |
3 |
4 |
5 |
6 |
|---|---|---|---|---|---|
98.4 |
4.5 |
35.9 |
0.0 |
0.0 |
0.0 |
4.5 |
98.4 |
35.9 |
0.0 |
0.0 |
0.0 |
35.9 |
35.9 |
67.0 |
0.0 |
0.0 |
0.0 |
0.0 |
0.0 |
0.0 |
47.0 |
0.0 |
0.0 |
0.0 |
0.0 |
0.0 |
0.0 |
47.0 |
0.0 |
0.0 |
0.0 |
0.0 |
0.0 |
0.0 |
15.5 |
V (A^3/atom) |
a (A) |
b (A) |
c (A) |
alpha |
beta |
gamma |
|
|---|---|---|---|---|---|---|---|
MLP |
23.792 |
8.259 |
8.259 |
3.488 |
90.0 |
90.0 |
90.0 |
DFT |
24.173 |
8.412 |
8.412 |
3.416 |
90.0 |
90.0 |
90.0 |
1 |
2 |
3 |
4 |
5 |
6 |
|---|---|---|---|---|---|
76.0 |
33.2 |
41.8 |
0.0 |
0.0 |
0.0 |
33.2 |
76.0 |
41.8 |
0.0 |
0.0 |
0.0 |
41.8 |
41.8 |
71.7 |
0.0 |
0.0 |
0.0 |
0.0 |
0.0 |
0.0 |
32.3 |
0.0 |
0.0 |
0.0 |
0.0 |
0.0 |
0.0 |
32.3 |
0.0 |
0.0 |
0.0 |
0.0 |
0.0 |
0.0 |
19.7 |
V (A^3/atom) |
a (A) |
b (A) |
c (A) |
alpha |
beta |
gamma |
|
|---|---|---|---|---|---|---|---|
MLP |
23.481 |
5.588 |
5.588 |
10.42 |
90.0 |
90.0 |
120.0 |
DFT |
24.769 |
5.89 |
5.89 |
9.895 |
90.0 |
90.0 |
120.0 |
1 |
2 |
3 |
4 |
5 |
6 |
|---|---|---|---|---|---|
82.7 |
44.6 |
44.4 |
0.0 |
0.0 |
0.0 |
44.6 |
82.7 |
44.4 |
0.0 |
0.0 |
0.0 |
44.4 |
44.4 |
124.9 |
0.0 |
0.0 |
0.0 |
0.0 |
0.0 |
0.0 |
29.3 |
0.0 |
0.0 |
0.0 |
0.0 |
0.0 |
0.0 |
29.3 |
0.0 |
0.0 |
0.0 |
0.0 |
0.0 |
0.0 |
19.1 |
V (A^3/atom) |
a (A) |
b (A) |
c (A) |
alpha |
beta |
gamma |
|
|---|---|---|---|---|---|---|---|
MLP |
23.317 |
5.454 |
5.454 |
8.145 |
90.0 |
90.0 |
120.0 |
DFT |
23.483 |
5.451 |
5.451 |
8.214 |
90.0 |
90.0 |
120.0 |
1 |
2 |
3 |
4 |
5 |
6 |
|---|---|---|---|---|---|
87.0 |
46.3 |
21.1 |
0.0 |
0.0 |
0.0 |
46.3 |
87.0 |
21.1 |
0.0 |
0.0 |
0.0 |
21.1 |
21.1 |
122.9 |
0.0 |
0.0 |
0.0 |
0.0 |
0.0 |
0.0 |
-39.3 |
0.0 |
0.0 |
0.0 |
0.0 |
0.0 |
0.0 |
-39.2 |
0.0 |
0.0 |
0.0 |
0.0 |
0.0 |
0.0 |
20.3 |
V (A^3/atom) |
a (A) |
b (A) |
c (A) |
alpha |
beta |
gamma |
|
|---|---|---|---|---|---|---|---|
MLP |
23.525 |
7.22 |
7.22 |
7.22 |
90.0 |
90.0 |
90.0 |
DFT |
23.372 |
7.205 |
7.205 |
7.205 |
90.0 |
90.0 |
90.0 |
1 |
2 |
3 |
4 |
5 |
6 |
|---|---|---|---|---|---|
58.3 |
42.5 |
42.5 |
0.0 |
0.0 |
0.0 |
42.5 |
58.3 |
42.5 |
0.0 |
0.0 |
0.0 |
42.5 |
42.5 |
58.3 |
0.0 |
0.0 |
0.0 |
0.0 |
0.0 |
0.0 |
43.8 |
0.0 |
0.0 |
0.0 |
0.0 |
0.0 |
0.0 |
43.8 |
0.0 |
0.0 |
0.0 |
0.0 |
0.0 |
0.0 |
43.8 |
V (A^3/atom) |
a (A) |
b (A) |
c (A) |
alpha |
beta |
gamma |
|
|---|---|---|---|---|---|---|---|
MLP |
22.695 |
6.397 |
6.397 |
10.246 |
90.0 |
90.0 |
120.0 |
DFT |
22.884 |
6.388 |
6.388 |
10.36 |
90.0 |
90.0 |
120.0 |
1 |
2 |
3 |
4 |
5 |
6 |
|---|---|---|---|---|---|
73.9 |
39.0 |
17.3 |
0.0 |
0.0 |
0.0 |
39.0 |
73.9 |
17.3 |
0.0 |
0.0 |
0.0 |
17.3 |
17.3 |
105.0 |
0.0 |
0.0 |
0.0 |
0.0 |
0.0 |
0.0 |
22.8 |
0.0 |
0.0 |
0.0 |
0.0 |
0.0 |
0.0 |
22.8 |
0.0 |
0.0 |
0.0 |
0.0 |
0.0 |
0.0 |
17.4 |
V (A^3/atom) |
a (A) |
b (A) |
c (A) |
alpha |
beta |
gamma |
|
|---|---|---|---|---|---|---|---|
MLP |
22.902 |
4.974 |
4.974 |
14.812 |
90.0 |
90.0 |
90.0 |
DFT |
22.939 |
4.605 |
4.605 |
17.307 |
90.0 |
90.0 |
90.0 |
1 |
2 |
3 |
4 |
5 |
6 |
|---|---|---|---|---|---|
89.2 |
6.1 |
40.4 |
0.0 |
0.0 |
0.0 |
6.1 |
89.2 |
40.4 |
0.0 |
0.0 |
0.0 |
40.4 |
40.4 |
56.3 |
0.0 |
0.0 |
0.0 |
0.0 |
0.0 |
0.0 |
43.0 |
0.0 |
0.0 |
0.0 |
0.0 |
0.0 |
0.0 |
43.0 |
0.0 |
0.0 |
0.0 |
0.0 |
0.0 |
0.0 |
16.4 |
V (A^3/atom) |
a (A) |
b (A) |
c (A) |
alpha |
beta |
gamma |
|
|---|---|---|---|---|---|---|---|
MLP |
23.093 |
3.588 |
3.588 |
3.588 |
90.0 |
90.0 |
90.0 |
DFT |
23.018 |
3.584 |
3.584 |
3.584 |
90.0 |
90.0 |
90.0 |
1 |
2 |
3 |
4 |
5 |
6 |
|---|---|---|---|---|---|
77.5 |
45.3 |
45.3 |
0.0 |
0.0 |
0.0 |
45.3 |
77.5 |
45.3 |
0.0 |
0.0 |
0.0 |
45.3 |
45.3 |
77.5 |
0.0 |
0.0 |
0.0 |
0.0 |
0.0 |
0.0 |
50.4 |
0.0 |
0.0 |
0.0 |
0.0 |
0.0 |
0.0 |
50.4 |
0.0 |
0.0 |
0.0 |
0.0 |
0.0 |
0.0 |
50.4 |
V (A^3/atom) |
a (A) |
b (A) |
c (A) |
alpha |
beta |
gamma |
|
|---|---|---|---|---|---|---|---|
MLP |
22.503 |
7.114 |
7.114 |
7.114 |
90.0 |
90.0 |
90.0 |
DFT |
22.449 |
7.108 |
7.108 |
7.108 |
90.0 |
90.0 |
90.0 |
1 |
2 |
3 |
4 |
5 |
6 |
|---|---|---|---|---|---|
67.0 |
35.9 |
35.9 |
0.0 |
0.0 |
0.0 |
35.9 |
67.0 |
35.9 |
0.0 |
0.0 |
0.0 |
35.9 |
35.9 |
67.0 |
0.0 |
0.0 |
0.0 |
0.0 |
0.0 |
0.0 |
47.0 |
0.0 |
0.0 |
0.0 |
0.0 |
0.0 |
0.0 |
47.0 |
0.0 |
0.0 |
0.0 |
0.0 |
0.0 |
0.0 |
47.0 |