gtinv-436 (Mg-Sc-2022-06-12)¶
Energy distribution
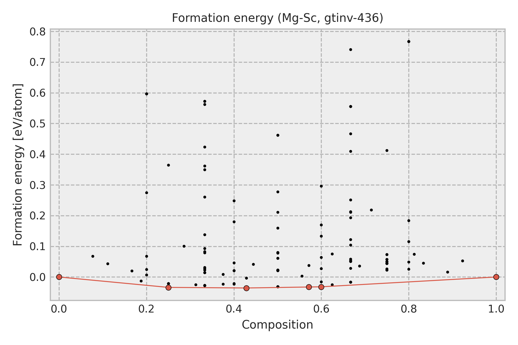
Convex hull (formation energy)
Stable structures
Composition |
Formation energy (eV/atom) |
Structure |
|---|---|---|
0.0 |
0.0 |
Mg |
0.25 |
-0.0338 |
icsd-104506-10-[Ni3Sn] |
0.25 |
-0.0338 |
icsd-260285-10-[UCl3] |
0.4286 |
-0.0358 |
icsd-629406-01-[Cu4Ti3] |
0.5714 |
-0.0326 |
icsd-629406-10-[Cu4Ti3] |
0.6 |
-0.0319 |
icsd-629380-10-[Al3Os2] |
1.0 |
0.0 |
Sc |
The convex hull and stable structures are obtained by performing local structure optimizations only from structure prototypes used for estimating the MLP. Therefore, they are often inconsistent with experimental structures and/or theoretical globally-stable structures. In addition, the prototype is used as the structure legend in the figure. Therefore, the structure type of the converged structure is sometimes different from that shown in the legend even if the potential energy surface predicted by MLP is almost the same as the true one.
Equation of state for each structure
Prototype structure energy
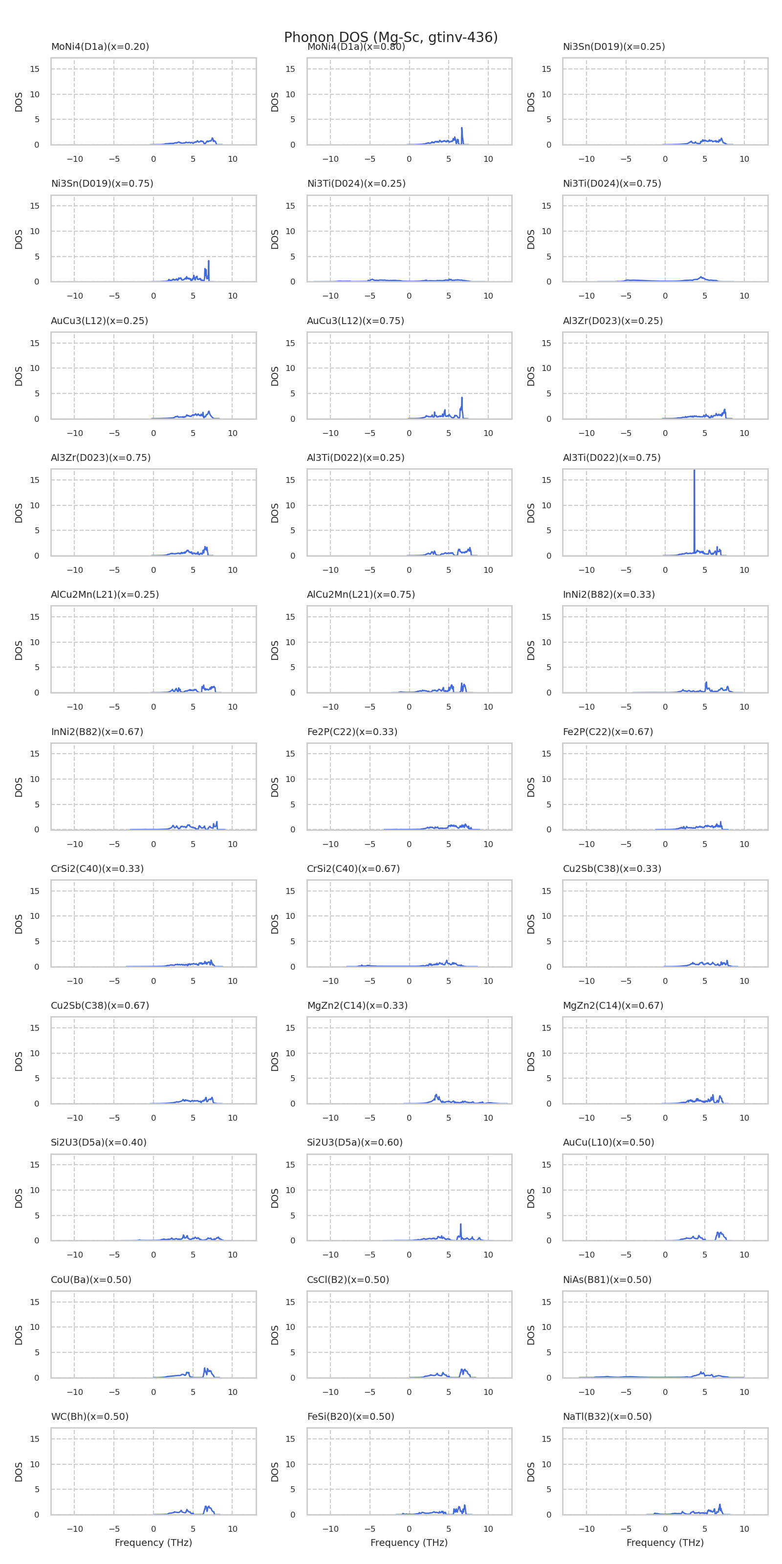
Phonon density of states
Prototype structure energy, Lattice constants, Elastic constants
Prototype |
MLP (eV/atom) |
DFT (eV/atom) |
|---|---|---|
icsd-97006-10-[InMg2] |
-3.90577 |
-3.90633 |
icsd-105521-10-[Al5W] |
-3.72605 |
-3.72536 |
icsd-58745-01-[Fe6Ge6Mg] |
-3.69282 |
-3.69483 |
icsd-167735-10-[Ru2B3] |
-3.65218 |
-3.65191 |
icsd-150584-10-[Fe13Ge3] |
-3.63995 |
-3.63628 |
icsd-107998-10-[MoNi4] |
-3.63024 |
-3.62998 |
icsd-42773-10-[IrGe4] |
-3.54829 |
-3.54337 |
icsd-260285-01-[UCl3] |
-3.52198 |
-3.52182 |
icsd-104506-01-[Ni3Sn] |
-3.52198 |
-3.52182 |
icsd-649037-01-[Ni3Ti] |
-3.51761 |
-3.51245 |
icsd-181127-10-[Auricupride-AuCu3] |
-3.50056 |
-3.50023 |
icsd-99787-10-[Fe3Pt] |
-3.50056 |
-3.50021 |
icsd-648572-01-[CuInPt2] |
-3.50056 |
-3.50023 |
icsd-69199-01-[U3Si] |
-3.50056 |
-3.50023 |
icsd-609153-01-[AlPt3] |
-3.50056 |
-3.50023 |
icsd-648748-10-[Pd4Se] |
-3.49697 |
-3.49598 |
icsd-643301-01-[Au3Cd] |
-3.49366 |
-3.49279 |
icsd-640726-10-[CuSmP2] |
-3.49366 |
-3.49279 |
icsd-416747-01-[Al3Zr] |
-3.49364 |
-3.49279 |
icsd-420250-01-[LiPd2Tl] |
-3.48158 |
-3.48146 |
icsd-105191-01-[Al3Ti] |
-3.48157 |
-3.48147 |
icsd-188260-10-[Heusler-AlCu2Mn] |
-3.47124 |
-3.47094 |
icsd-189695-01-[CuHg2Ti] |
-3.47124 |
-3.47093 |
icsd-155842-10-[Co5Fe11] |
-3.33851 |
-3.34059 |
icsd-58471-01-[CuZr2] |
-3.33299 |
-3.33219 |
icsd-58607-10-[Au2Ti] |
-3.33269 |
-3.33245 |
icsd-652553-10-[AlCr2-MoSi2] |
-3.33268 |
-3.33245 |
icsd-69557-10-[CdI2(hP9)] |
-3.2898 |
-3.28984 |
icsd-161133-10-[Fe2Si(HT)] |
-3.26572 |
-3.26612 |
icsd-105948-01-[InNi2] |
-3.26572 |
-3.26612 |
icsd-611176-01-[Fe2P] |
-3.25936 |
-3.26423 |
icsd-635642-01-[Hg5Mn2] |
-3.22814 |
-3.2304 |
icsd-105726-01-[Pd5Ti3] |
-3.21888 |
-3.21912 |
icsd-16504-01-[CrSi2] |
-3.21393 |
-3.21314 |
icsd-629380-10-[Al3Os2] |
-3.15114 |
-3.15122 |
icsd-635208-10-[CoGa3] |
-3.12978 |
-3.13488 |
icsd-59586-01-[Pd5Th3] |
-3.12901 |
-3.12823 |
icsd-30446-01-[Fe2B] |
-3.12484 |
-3.12468 |
icsd-103995-01-[Ga3Ti2] |
-3.11872 |
-3.11877 |
icsd-246555-10-[Co2Nd] |
-3.10707 |
-3.10736 |
icsd-409859-10-[La2Sb] |
-3.10247 |
-3.10236 |
icsd-610464-10-[PbClF/Cu2Sb] |
-3.10208 |
-3.10072 |
icsd-625334-01-[Laves(2H)-MgZn2] |
-3.09587 |
-3.09611 |
icsd-629406-10-[Cu4Ti3] |
-3.08784 |
-3.0879 |
icsd-659829-01-[Al2Li3] |
-3.07269 |
-3.07402 |
icsd-5258-01-[FeSi2] |
-3.06706 |
-3.067 |
icsd-639879-10-[In5In4] |
-3.01306 |
-3.01287 |
icsd-639227-10-[Si2U3] |
-3.00218 |
-3.00205 |
icsd-239-10-[Cu3Se2] |
-2.96718 |
-2.96699 |
icsd-108762-10-[Hg4Pt] |
-2.91346 |
-2.91427 |
icsd-639148-10-[NiHg4] |
-2.91346 |
-2.91427 |
icsd-424636-10-[MnGa4] |
-2.91341 |
-2.91424 |
icsd-655706-10-[Cu2Te(HT)] |
-2.90858 |
-2.90817 |
icsd-650527-01-[CsCl] |
-2.89656 |
-2.89645 |
icsd-106325-01-[BiIn] |
-2.89656 |
-2.89644 |
icsd-102712-01-[CoU] |
-2.89656 |
-2.89646 |
icsd-633467-01-[FeSe(tP2)] |
-2.89655 |
-2.89644 |
icsd-108707-01-[HgMn] |
-2.89654 |
-2.89644 |
icsd-59508-01-[AuCu] |
-2.89654 |
-2.89643 |
icsd-42428-01-[Fe3Pt] |
-2.89653 |
-2.89644 |
icsd-106786-10-[Hg2Pt] |
-2.85096 |
-2.85345 |
icsd-626692-01-[Nickeline-NiAs] |
-2.84412 |
-2.84436 |
icsd-168897-01-[LaI] |
-2.84412 |
-2.84435 |
icsd-611618-01-[TiAs] |
-2.84316 |
-2.84321 |
icsd-618702-01-[ScTe] |
-2.84316 |
-2.84321 |
icsd-100654-01-[BiSe] |
-2.8429 |
-2.84314 |
icsd-639037-01-[HgIn] |
-2.84189 |
-2.84206 |
icsd-659806-01-[GeTe(subcell)] |
-2.84189 |
-2.84206 |
icsd-52294-01-[GeTe(supercell)] |
-2.84189 |
-2.84206 |
icsd-185626-10-[Al3Ni2] |
-2.84023 |
-2.83961 |
icsd-611457-01-[NbAs] |
-2.80336 |
-2.80367 |
icsd-105636-01-[PbU] |
-2.80336 |
-2.80367 |
icsd-618295-01-[MoC1-x] |
-2.78678 |
-2.78676 |
icsd-240119-01-[AlLi] |
-2.78477 |
-2.78592 |
icsd-103775-01-[NaTl] |
-2.78477 |
-2.78592 |
icsd-659856-01-[LiPt] |
-2.78474 |
-2.7842 |
icsd-644708-01-[WC] |
-2.7846 |
-2.7842 |
icsd-55492-01-[BaPt] |
-2.78121 |
-2.78059 |
icsd-638227-10-[Fluorite-CaF2] |
-2.76224 |
-2.76238 |
icsd-248490-10-[Pt2Si] |
-2.76223 |
-2.76237 |
icsd-169457-10-[ZrH2] |
-2.7622 |
-2.76234 |
icsd-16606-01-[Nb3Te4] |
-2.74262 |
-2.74226 |
icsd-629406-01-[Cu4Ti3] |
-2.70608 |
-2.70615 |
icsd-635060-01-[Fersilicite-FeSi] |
-2.70504 |
-2.70491 |
icsd-16606-10-[Nb3Te4] |
-2.67369 |
-2.6728 |
icsd-639879-01-[In5In4] |
-2.67259 |
-2.67268 |
icsd-629380-01-[Al3Os2] |
-2.61168 |
-2.61195 |
icsd-103995-10-[Ga3Ti2] |
-2.59912 |
-2.59908 |
icsd-262070-01-[AlLi(hP8)] |
-2.58742 |
-2.58732 |
icsd-189711-01-[Heusler(alloy)-AlLiSi] |
-2.57737 |
-2.57773 |
icsd-659829-10-[Al2Li3] |
-2.5718 |
-2.57227 |
icsd-105726-10-[Pd5Ti3] |
-2.54836 |
-2.54838 |
icsd-73839-10-[Ni3S2] |
-2.54481 |
-2.54715 |
icsd-161109-01-[CoSn] |
-2.44493 |
-2.44404 |
icsd-59586-10-[Pd5Th3] |
-2.44362 |
-2.44325 |
icsd-58471-10-[CuZr2] |
-2.4396 |
-2.43947 |
icsd-652553-01-[AlCr2-MoSi2] |
-2.4396 |
-2.43947 |
icsd-58607-01-[Au2Ti] |
-2.43959 |
-2.43947 |
icsd-639227-01-[Si2U3] |
-2.41259 |
-2.41245 |
icsd-42472-01-[CoO] |
-2.40327 |
-2.40332 |
icsd-181788-01-[NaCl] |
-2.40317 |
-2.40331 |
icsd-161133-01-[Fe2Si(HT)] |
-2.39709 |
-2.39714 |
icsd-105948-10-[InNi2] |
-2.39709 |
-2.39714 |
icsd-239-01-[Cu3Se2] |
-2.39197 |
-2.392 |
icsd-69557-01-[CdI2(hP9)] |
-2.38921 |
-2.38929 |
icsd-625334-10-[Laves(2H)-MgZn2] |
-2.38448 |
-2.38451 |
icsd-246555-01-[Co2Nd] |
-2.38017 |
-2.38 |
icsd-155842-01-[Co5Fe11] |
-2.37852 |
-2.37821 |
icsd-185626-01-[Al3Ni2] |
-2.34436 |
-2.34372 |
icsd-611176-10-[Fe2P] |
-2.3325 |
-2.33332 |
icsd-16504-10-[CrSi2] |
-2.32804 |
-2.32815 |
icsd-610464-01-[PbClF/Cu2Sb] |
-2.27785 |
-2.27811 |
icsd-409859-01-[La2Sb] |
-2.27464 |
-2.27466 |
icsd-5258-10-[FeSi2] |
-2.27409 |
-2.27383 |
icsd-260285-10-[UCl3] |
-2.21909 |
-2.21906 |
icsd-104506-10-[Ni3Sn] |
-2.21908 |
-2.21906 |
icsd-648572-10-[CuInPt2] |
-2.2172 |
-2.21692 |
icsd-181127-01-[Auricupride-AuCu3] |
-2.2172 |
-2.21692 |
icsd-609153-10-[AlPt3] |
-2.2172 |
-2.21693 |
icsd-99787-01-[Fe3Pt] |
-2.21718 |
-2.21694 |
icsd-69199-10-[U3Si] |
-2.21717 |
-2.2169 |
icsd-420250-10-[LiPd2Tl] |
-2.2151 |
-2.21511 |
icsd-105191-10-[Al3Ti] |
-2.2151 |
-2.21511 |
icsd-189695-10-[CuHg2Ti] |
-2.21509 |
-2.21511 |
icsd-188260-01-[Heusler-AlCu2Mn] |
-2.21509 |
-2.21511 |
icsd-649037-10-[Ni3Ti] |
-2.21503 |
-2.21442 |
icsd-640726-01-[CuSmP2] |
-2.20084 |
-2.20001 |
icsd-416747-10-[Al3Zr] |
-2.20084 |
-2.20001 |
icsd-643301-10-[Au3Cd] |
-2.20081 |
-2.2 |
icsd-635642-10-[Hg5Mn2] |
-2.18048 |
-2.17977 |
icsd-30446-10-[Fe2B] |
-2.15063 |
-2.15066 |
icsd-73839-01-[Ni3S2] |
-2.11432 |
-2.11531 |
icsd-655706-01-[Cu2Te(HT)] |
-2.06223 |
-2.06286 |
icsd-106786-01-[Hg2Pt] |
-2.04983 |
-2.04966 |
icsd-167735-01-[Ru2B3] |
-2.04248 |
-2.04236 |
icsd-150584-01-[Fe13Ge3] |
-2.02817 |
-2.02816 |
icsd-107998-01-[MoNi4] |
-2.02424 |
-2.0242 |
icsd-189711-10-[Heusler(alloy)-AlLiSi] |
-1.98862 |
-1.98828 |
icsd-105521-01-[Al5W] |
-1.93897 |
-1.9389 |
icsd-42773-01-[IrGe4] |
-1.93835 |
-1.93659 |
icsd-169457-01-[ZrH2] |
-1.8395 |
-1.83928 |
icsd-248490-01-[Pt2Si] |
-1.83947 |
-1.83926 |
icsd-638227-01-[Fluorite-CaF2] |
-1.83947 |
-1.83928 |
icsd-635208-01-[CoGa3] |
-1.81652 |
-1.81458 |
icsd-648748-01-[Pd4Se] |
-1.77422 |
-1.77407 |
icsd-97006-01-[InMg2] |
-1.76405 |
-1.764 |
icsd-58745-10-[Fe6Ge6Mg] |
-1.64664 |
-1.64655 |
icsd-639148-01-[NiHg4] |
-1.45271 |
-1.45268 |
icsd-108762-01-[Hg4Pt] |
-1.45271 |
-1.45268 |
icsd-424636-01-[MnGa4] |
-1.45271 |
-1.45268 |
V (A^3/atom) |
a (A) |
b (A) |
c (A) |
alpha |
beta |
gamma |
|
|---|---|---|---|---|---|---|---|
MLP |
23.083 |
3.587 |
3.587 |
3.587 |
90.0 |
90.0 |
90.0 |
DFT |
23.067 |
3.587 |
3.587 |
3.587 |
90.0 |
90.0 |
90.0 |
1 |
2 |
3 |
4 |
5 |
6 |
|---|---|---|---|---|---|
75.6 |
42.3 |
42.3 |
0.0 |
0.0 |
0.0 |
42.3 |
75.6 |
42.3 |
0.0 |
0.0 |
0.0 |
42.3 |
42.3 |
75.6 |
0.0 |
0.0 |
0.0 |
0.0 |
0.0 |
0.0 |
52.0 |
0.0 |
0.0 |
0.0 |
0.0 |
0.0 |
0.0 |
52.0 |
0.0 |
0.0 |
0.0 |
0.0 |
0.0 |
0.0 |
52.0 |
V (A^3/atom) |
a (A) |
b (A) |
c (A) |
alpha |
beta |
gamma |
|
|---|---|---|---|---|---|---|---|
MLP |
22.719 |
5.086 |
5.086 |
6.085 |
90.0 |
90.0 |
120.0 |
DFT |
22.771 |
5.088 |
5.088 |
6.095 |
90.0 |
90.0 |
120.0 |
1 |
2 |
3 |
4 |
5 |
6 |
|---|---|---|---|---|---|
96.6 |
43.3 |
8.9 |
0.0 |
0.0 |
0.0 |
43.3 |
96.6 |
8.9 |
0.0 |
0.0 |
0.0 |
8.9 |
8.9 |
121.2 |
0.0 |
0.0 |
0.0 |
0.0 |
0.0 |
0.0 |
13.8 |
0.0 |
0.0 |
0.0 |
0.0 |
0.0 |
0.0 |
13.8 |
0.0 |
0.0 |
0.0 |
0.0 |
0.0 |
0.0 |
26.6 |
V (A^3/atom) |
a (A) |
b (A) |
c (A) |
alpha |
beta |
gamma |
|
|---|---|---|---|---|---|---|---|
MLP |
23.083 |
3.587 |
3.587 |
3.587 |
90.0 |
90.0 |
90.0 |
DFT |
23.751 |
3.195 |
3.195 |
5.374 |
90.0 |
90.0 |
120.0 |
1 |
2 |
3 |
4 |
5 |
6 |
|---|---|---|---|---|---|
75.6 |
42.3 |
42.3 |
0.0 |
0.0 |
0.0 |
42.3 |
75.6 |
42.3 |
0.0 |
0.0 |
0.0 |
42.3 |
42.3 |
75.6 |
0.0 |
0.0 |
0.0 |
0.0 |
0.0 |
0.0 |
52.0 |
0.0 |
0.0 |
0.0 |
0.0 |
0.0 |
0.0 |
52.0 |
0.0 |
0.0 |
0.0 |
0.0 |
0.0 |
0.0 |
52.0 |
V (A^3/atom) |
a (A) |
b (A) |
c (A) |
alpha |
beta |
gamma |
|
|---|---|---|---|---|---|---|---|
MLP |
22.778 |
6.002 |
7.811 |
4.999 |
90.0 |
90.0 |
103.62 |
DFT |
23.05 |
6.983 |
6.983 |
4.727 |
90.0 |
90.0 |
90.0 |
1 |
2 |
3 |
4 |
5 |
6 |
|---|---|---|---|---|---|
71.1 |
24.7 |
39.9 |
0.0 |
0.0 |
-10.7 |
24.7 |
115.1 |
10.0 |
0.0 |
0.0 |
10.1 |
39.9 |
10.0 |
105.8 |
0.0 |
0.0 |
11.6 |
0.0 |
0.0 |
0.0 |
19.5 |
17.7 |
0.0 |
0.0 |
0.0 |
0.0 |
17.7 |
41.6 |
0.0 |
-10.7 |
10.1 |
11.6 |
0.0 |
0.0 |
23.0 |
V (A^3/atom) |
a (A) |
b (A) |
c (A) |
alpha |
beta |
gamma |
|
|---|---|---|---|---|---|---|---|
MLP |
23.925 |
4.495 |
4.495 |
9.472 |
90.0 |
90.0 |
90.0 |
DFT |
23.829 |
4.604 |
4.604 |
8.994 |
90.0 |
90.0 |
90.0 |
1 |
2 |
3 |
4 |
5 |
6 |
|---|---|---|---|---|---|
50.9 |
53.0 |
38.4 |
0.0 |
0.0 |
0.0 |
53.0 |
50.9 |
38.4 |
0.0 |
0.0 |
0.0 |
38.4 |
38.4 |
62.6 |
0.0 |
0.0 |
0.0 |
0.0 |
0.0 |
0.0 |
33.4 |
0.0 |
0.0 |
0.0 |
0.0 |
0.0 |
0.0 |
33.4 |
0.0 |
0.0 |
0.0 |
0.0 |
0.0 |
0.0 |
39.7 |
V (A^3/atom) |
a (A) |
b (A) |
c (A) |
alpha |
beta |
gamma |
|
|---|---|---|---|---|---|---|---|
MLP |
23.083 |
3.587 |
3.587 |
3.587 |
90.0 |
90.0 |
90.0 |
DFT |
23.08 |
3.587 |
3.587 |
3.587 |
90.0 |
90.0 |
90.0 |
1 |
2 |
3 |
4 |
5 |
6 |
|---|---|---|---|---|---|
75.6 |
42.3 |
42.3 |
0.0 |
0.0 |
0.0 |
42.3 |
75.6 |
42.3 |
0.0 |
0.0 |
0.0 |
42.3 |
42.3 |
75.6 |
0.0 |
0.0 |
0.0 |
0.0 |
0.0 |
0.0 |
52.0 |
0.0 |
0.0 |
0.0 |
0.0 |
0.0 |
0.0 |
52.0 |
0.0 |
0.0 |
0.0 |
0.0 |
0.0 |
0.0 |
52.0 |
V (A^3/atom) |
a (A) |
b (A) |
c (A) |
alpha |
beta |
gamma |
|
|---|---|---|---|---|---|---|---|
MLP |
22.882 |
4.507 |
4.507 |
4.507 |
90.0 |
90.0 |
90.0 |
DFT |
22.89 |
4.507 |
4.507 |
4.507 |
90.0 |
90.0 |
90.0 |
1 |
2 |
3 |
4 |
5 |
6 |
|---|---|---|---|---|---|
54.4 |
39.2 |
39.2 |
0.0 |
0.0 |
0.0 |
39.2 |
54.4 |
39.2 |
0.0 |
0.0 |
0.0 |
39.2 |
39.2 |
54.4 |
0.0 |
0.0 |
0.0 |
0.0 |
0.0 |
0.0 |
42.2 |
0.0 |
0.0 |
0.0 |
0.0 |
0.0 |
0.0 |
42.2 |
0.0 |
0.0 |
0.0 |
0.0 |
0.0 |
0.0 |
42.2 |
V (A^3/atom) |
a (A) |
b (A) |
c (A) |
alpha |
beta |
gamma |
|
|---|---|---|---|---|---|---|---|
MLP |
23.049 |
3.156 |
4.976 |
8.806 |
90.0 |
90.0 |
90.0 |
DFT |
23.853 |
4.168 |
4.168 |
8.239 |
90.0 |
90.0 |
90.0 |
1 |
2 |
3 |
4 |
5 |
6 |
|---|---|---|---|---|---|
77.0 |
30.6 |
26.4 |
0.0 |
0.0 |
0.0 |
30.6 |
90.0 |
19.1 |
0.0 |
0.0 |
0.0 |
26.4 |
19.1 |
69.4 |
0.0 |
0.0 |
0.0 |
0.0 |
0.0 |
0.0 |
33.2 |
0.0 |
0.0 |
0.0 |
0.0 |
0.0 |
0.0 |
22.1 |
0.0 |
0.0 |
0.0 |
0.0 |
0.0 |
0.0 |
33.9 |
V (A^3/atom) |
a (A) |
b (A) |
c (A) |
alpha |
beta |
gamma |
|
|---|---|---|---|---|---|---|---|
MLP |
23.808 |
4.526 |
4.526 |
18.599 |
90.0 |
90.0 |
90.0 |
DFT |
23.848 |
4.589 |
4.589 |
18.121 |
90.0 |
90.0 |
90.0 |
1 |
2 |
3 |
4 |
5 |
6 |
|---|---|---|---|---|---|
56.9 |
44.5 |
38.4 |
0.0 |
0.0 |
0.0 |
44.5 |
56.9 |
38.4 |
0.0 |
0.0 |
0.0 |
38.4 |
38.4 |
57.4 |
0.0 |
0.0 |
0.0 |
0.0 |
0.0 |
0.0 |
35.0 |
0.0 |
0.0 |
0.0 |
0.0 |
0.0 |
0.0 |
35.0 |
0.0 |
0.0 |
0.0 |
0.0 |
0.0 |
0.0 |
37.7 |
V (A^3/atom) |
a (A) |
b (A) |
c (A) |
alpha |
beta |
gamma |
|
|---|---|---|---|---|---|---|---|
MLP |
24.176 |
5.783 |
5.783 |
5.783 |
90.0 |
90.0 |
90.0 |
DFT |
24.176 |
5.783 |
5.783 |
5.783 |
90.0 |
90.0 |
90.0 |
1 |
2 |
3 |
4 |
5 |
6 |
|---|---|---|---|---|---|
13.1 |
67.5 |
67.5 |
0.0 |
0.0 |
0.0 |
67.5 |
13.1 |
67.5 |
0.0 |
0.0 |
0.0 |
67.5 |
67.5 |
13.1 |
0.0 |
0.0 |
0.0 |
0.0 |
0.0 |
0.0 |
-18.2 |
0.0 |
0.0 |
0.0 |
0.0 |
0.0 |
0.0 |
-18.2 |
0.0 |
0.0 |
0.0 |
0.0 |
0.0 |
0.0 |
-18.2 |
V (A^3/atom) |
a (A) |
b (A) |
c (A) |
alpha |
beta |
gamma |
|
|---|---|---|---|---|---|---|---|
MLP |
24.643 |
8.536 |
8.536 |
3.382 |
90.0 |
90.0 |
90.0 |
DFT |
24.611 |
8.499 |
8.499 |
3.407 |
90.0 |
90.0 |
90.0 |
1 |
2 |
3 |
4 |
5 |
6 |
|---|---|---|---|---|---|
-179948.1 |
-179970.9 |
-20872.7 |
0.0 |
0.0 |
5.6 |
-179970.9 |
-179948.2 |
-20872.7 |
0.0 |
0.0 |
-5.6 |
-20872.7 |
-20872.7 |
66.0 |
0.0 |
0.0 |
0.0 |
0.0 |
0.0 |
0.0 |
24.0 |
0.0 |
0.0 |
0.0 |
0.0 |
0.0 |
0.0 |
24.0 |
0.0 |
5.6 |
-5.6 |
0.0 |
0.0 |
0.0 |
14.5 |
V (A^3/atom) |
a (A) |
b (A) |
c (A) |
alpha |
beta |
gamma |
|
|---|---|---|---|---|---|---|---|
MLP |
22.816 |
6.431 |
6.431 |
5.097 |
90.0 |
90.0 |
120.0 |
DFT |
22.808 |
6.433 |
6.433 |
5.092 |
90.0 |
90.0 |
120.0 |
1 |
2 |
3 |
4 |
5 |
6 |
|---|---|---|---|---|---|
67.8 |
38.9 |
17.2 |
0.0 |
0.0 |
0.0 |
38.9 |
67.8 |
17.2 |
0.0 |
0.0 |
0.0 |
17.2 |
17.2 |
100.9 |
0.0 |
0.0 |
0.0 |
0.0 |
0.0 |
0.0 |
24.1 |
0.0 |
0.0 |
0.0 |
0.0 |
0.0 |
0.0 |
24.1 |
0.0 |
0.0 |
0.0 |
0.0 |
0.0 |
0.0 |
14.4 |
V (A^3/atom) |
a (A) |
b (A) |
c (A) |
alpha |
beta |
gamma |
|
|---|---|---|---|---|---|---|---|
MLP |
23.749 |
3.133 |
15.32 |
8.905 |
90.0 |
90.0 |
90.0 |
DFT |
23.841 |
3.135 |
15.356 |
8.913 |
90.0 |
90.0 |
90.0 |
1 |
2 |
3 |
4 |
5 |
6 |
|---|---|---|---|---|---|
87.7 |
32.0 |
29.5 |
0.0 |
0.0 |
0.0 |
32.0 |
79.3 |
34.1 |
0.0 |
0.0 |
0.0 |
29.5 |
34.1 |
97.5 |
0.0 |
0.0 |
0.0 |
0.0 |
0.0 |
0.0 |
24.5 |
0.0 |
0.0 |
0.0 |
0.0 |
0.0 |
0.0 |
10.3 |
0.0 |
0.0 |
0.0 |
0.0 |
0.0 |
0.0 |
10.7 |
V (A^3/atom) |
a (A) |
b (A) |
c (A) |
alpha |
beta |
gamma |
|
|---|---|---|---|---|---|---|---|
MLP |
23.215 |
5.089 |
3.402 |
8.223 |
101.94 |
90.0 |
90.0 |
DFT |
25.17 |
4.392 |
4.392 |
7.829 |
90.0 |
90.0 |
90.0 |
1 |
2 |
3 |
4 |
5 |
6 |
|---|---|---|---|---|---|
107.9 |
46.2 |
16.3 |
0.0 |
0.0 |
0.0 |
46.2 |
100.0 |
61.5 |
0.0 |
0.0 |
0.0 |
16.3 |
61.5 |
75.7 |
0.0 |
0.0 |
0.0 |
0.0 |
0.0 |
0.0 |
45.0 |
0.0 |
0.0 |
0.0 |
0.0 |
0.0 |
0.0 |
20.8 |
2.2 |
0.0 |
0.0 |
0.0 |
0.0 |
2.2 |
38.1 |
V (A^3/atom) |
a (A) |
b (A) |
c (A) |
alpha |
beta |
gamma |
|
|---|---|---|---|---|---|---|---|
MLP |
23.727 |
6.493 |
6.493 |
5.199 |
90.0 |
90.0 |
120.0 |
DFT |
23.782 |
6.491 |
6.491 |
5.214 |
90.0 |
90.0 |
120.0 |
1 |
2 |
3 |
4 |
5 |
6 |
|---|---|---|---|---|---|
104.1 |
48.6 |
31.1 |
0.0 |
0.0 |
0.0 |
48.6 |
104.1 |
31.1 |
0.0 |
0.0 |
0.0 |
31.1 |
31.1 |
82.0 |
0.0 |
0.0 |
0.0 |
0.0 |
0.0 |
0.0 |
28.6 |
0.0 |
0.0 |
0.0 |
0.0 |
0.0 |
0.0 |
28.6 |
0.0 |
0.0 |
0.0 |
0.0 |
0.0 |
0.0 |
27.8 |
V (A^3/atom) |
a (A) |
b (A) |
c (A) |
alpha |
beta |
gamma |
|
|---|---|---|---|---|---|---|---|
MLP |
23.898 |
6.482 |
6.482 |
10.507 |
90.0 |
90.0 |
120.0 |
DFT |
23.796 |
6.479 |
6.479 |
10.472 |
90.0 |
90.0 |
120.0 |
1 |
2 |
3 |
4 |
5 |
6 |
|---|---|---|---|---|---|
95.1 |
47.0 |
35.3 |
0.0 |
0.0 |
0.0 |
47.0 |
95.1 |
35.3 |
0.0 |
0.0 |
0.0 |
35.3 |
35.3 |
102.1 |
0.0 |
0.0 |
0.0 |
0.0 |
0.0 |
0.0 |
25.3 |
0.0 |
0.0 |
0.0 |
0.0 |
0.0 |
0.0 |
25.3 |
0.0 |
0.0 |
0.0 |
0.0 |
0.0 |
0.0 |
24.1 |
V (A^3/atom) |
a (A) |
b (A) |
c (A) |
alpha |
beta |
gamma |
|
|---|---|---|---|---|---|---|---|
MLP |
23.176 |
8.881 |
8.881 |
3.054 |
90.0 |
90.0 |
120.0 |
DFT |
23.248 |
8.91 |
8.91 |
3.044 |
90.0 |
90.0 |
120.0 |
1 |
2 |
3 |
4 |
5 |
6 |
|---|---|---|---|---|---|
87.8 |
29.1 |
15.9 |
0.0 |
0.0 |
0.0 |
29.1 |
87.8 |
15.9 |
0.0 |
0.0 |
0.0 |
15.9 |
15.9 |
77.2 |
0.0 |
0.0 |
0.0 |
0.0 |
0.0 |
0.0 |
-23.3 |
0.0 |
0.0 |
0.0 |
0.0 |
0.0 |
0.0 |
-23.3 |
0.0 |
0.0 |
0.0 |
0.0 |
0.0 |
0.0 |
29.3 |
V (A^3/atom) |
a (A) |
b (A) |
c (A) |
alpha |
beta |
gamma |
|
|---|---|---|---|---|---|---|---|
MLP |
24.058 |
7.235 |
7.235 |
4.596 |
90.0 |
90.0 |
90.0 |
DFT |
24.062 |
7.172 |
7.172 |
4.678 |
90.0 |
90.0 |
90.0 |
1 |
2 |
3 |
4 |
5 |
6 |
|---|---|---|---|---|---|
71.3 |
34.4 |
39.7 |
0.0 |
0.0 |
-14.3 |
34.4 |
71.3 |
39.7 |
0.0 |
0.0 |
14.3 |
39.7 |
39.7 |
63.7 |
0.0 |
0.0 |
0.0 |
0.0 |
0.0 |
0.0 |
36.2 |
0.0 |
0.0 |
0.0 |
0.0 |
0.0 |
0.0 |
36.2 |
0.0 |
-14.3 |
14.3 |
0.0 |
0.0 |
0.0 |
24.0 |
V (A^3/atom) |
a (A) |
b (A) |
c (A) |
alpha |
beta |
gamma |
|
|---|---|---|---|---|---|---|---|
MLP |
23.202 |
5.835 |
5.835 |
9.443 |
90.0 |
90.0 |
120.0 |
DFT |
23.221 |
5.835 |
5.835 |
9.449 |
90.0 |
90.0 |
120.0 |
1 |
2 |
3 |
4 |
5 |
6 |
|---|---|---|---|---|---|
78.3 |
28.9 |
30.5 |
0.0 |
0.0 |
0.0 |
28.9 |
78.3 |
30.5 |
0.0 |
0.0 |
0.0 |
30.5 |
30.5 |
87.8 |
0.0 |
0.0 |
0.0 |
0.0 |
0.0 |
0.0 |
19.5 |
0.0 |
0.0 |
0.0 |
0.0 |
0.0 |
0.0 |
19.5 |
0.0 |
0.0 |
0.0 |
0.0 |
0.0 |
0.0 |
24.7 |
V (A^3/atom) |
a (A) |
b (A) |
c (A) |
alpha |
beta |
gamma |
|
|---|---|---|---|---|---|---|---|
MLP |
23.798 |
5.555 |
5.555 |
8.016 |
90.0 |
90.0 |
120.0 |
DFT |
23.723 |
5.539 |
5.539 |
8.034 |
90.0 |
90.0 |
120.0 |
1 |
2 |
3 |
4 |
5 |
6 |
|---|---|---|---|---|---|
82.3 |
38.8 |
17.3 |
0.0 |
0.0 |
0.0 |
38.8 |
82.3 |
17.3 |
0.0 |
0.0 |
0.0 |
17.3 |
17.3 |
107.0 |
0.0 |
0.0 |
0.0 |
0.0 |
0.0 |
0.0 |
-43.7 |
0.0 |
0.0 |
0.0 |
0.0 |
0.0 |
0.0 |
-43.7 |
0.0 |
0.0 |
0.0 |
0.0 |
0.0 |
0.0 |
21.7 |
V (A^3/atom) |
a (A) |
b (A) |
c (A) |
alpha |
beta |
gamma |
|
|---|---|---|---|---|---|---|---|
MLP |
23.568 |
7.225 |
7.225 |
7.225 |
90.0 |
90.0 |
90.0 |
DFT |
23.703 |
7.238 |
7.238 |
7.238 |
90.0 |
90.0 |
90.0 |
1 |
2 |
3 |
4 |
5 |
6 |
|---|---|---|---|---|---|
59.0 |
34.3 |
34.3 |
0.0 |
0.0 |
0.0 |
34.3 |
59.0 |
34.3 |
0.0 |
0.0 |
0.0 |
34.3 |
34.3 |
59.0 |
0.0 |
0.0 |
0.0 |
0.0 |
0.0 |
0.0 |
43.8 |
0.0 |
0.0 |
0.0 |
0.0 |
0.0 |
0.0 |
43.8 |
0.0 |
0.0 |
0.0 |
0.0 |
0.0 |
0.0 |
43.8 |
V (A^3/atom) |
a (A) |
b (A) |
c (A) |
alpha |
beta |
gamma |
|
|---|---|---|---|---|---|---|---|
MLP |
23.617 |
5.097 |
5.097 |
6.297 |
90.0 |
90.0 |
120.0 |
DFT |
23.787 |
5.085 |
5.085 |
6.372 |
90.0 |
90.0 |
120.0 |
1 |
2 |
3 |
4 |
5 |
6 |
|---|---|---|---|---|---|
90.9 |
31.7 |
30.2 |
0.0 |
0.0 |
0.0 |
31.7 |
90.9 |
30.2 |
0.0 |
0.0 |
0.0 |
30.2 |
30.2 |
108.4 |
0.0 |
0.0 |
0.0 |
0.0 |
0.0 |
0.0 |
19.1 |
0.0 |
0.0 |
0.0 |
0.0 |
0.0 |
0.0 |
19.1 |
0.0 |
0.0 |
0.0 |
0.0 |
0.0 |
0.0 |
29.6 |
V (A^3/atom) |
a (A) |
b (A) |
c (A) |
alpha |
beta |
gamma |
|
|---|---|---|---|---|---|---|---|
MLP |
23.829 |
4.568 |
4.568 |
4.568 |
90.0 |
90.0 |
90.0 |
DFT |
23.834 |
4.568 |
4.568 |
4.568 |
90.0 |
90.0 |
90.0 |
1 |
2 |
3 |
4 |
5 |
6 |
|---|---|---|---|---|---|
52.5 |
37.2 |
37.2 |
0.0 |
0.0 |
0.0 |
37.2 |
52.5 |
37.2 |
0.0 |
0.0 |
0.0 |
37.2 |
37.2 |
52.5 |
0.0 |
0.0 |
0.0 |
0.0 |
0.0 |
0.0 |
35.2 |
0.0 |
0.0 |
0.0 |
0.0 |
0.0 |
0.0 |
35.2 |
0.0 |
0.0 |
0.0 |
0.0 |
0.0 |
0.0 |
35.2 |
V (A^3/atom) |
a (A) |
b (A) |
c (A) |
alpha |
beta |
gamma |
|
|---|---|---|---|---|---|---|---|
MLP |
23.768 |
3.249 |
3.249 |
10.399 |
90.0 |
90.0 |
120.0 |
DFT |
23.777 |
3.248 |
3.248 |
10.409 |
90.0 |
90.0 |
120.0 |
1 |
2 |
3 |
4 |
5 |
6 |
|---|---|---|---|---|---|
79.6 |
39.3 |
37.3 |
0.0 |
0.0 |
0.0 |
39.3 |
79.6 |
37.3 |
0.0 |
0.0 |
0.0 |
37.3 |
37.3 |
98.5 |
0.0 |
0.0 |
0.0 |
0.0 |
0.0 |
0.0 |
33.7 |
0.0 |
0.0 |
0.0 |
0.0 |
0.0 |
0.0 |
33.7 |
0.0 |
0.0 |
0.0 |
0.0 |
0.0 |
0.0 |
20.2 |
V (A^3/atom) |
a (A) |
b (A) |
c (A) |
alpha |
beta |
gamma |
|
|---|---|---|---|---|---|---|---|
MLP |
22.501 |
5.03 |
5.03 |
7.114 |
90.0 |
90.0 |
90.0 |
DFT |
22.497 |
5.035 |
5.035 |
7.099 |
90.0 |
90.0 |
90.0 |
1 |
2 |
3 |
4 |
5 |
6 |
|---|---|---|---|---|---|
98.3 |
3.3 |
36.3 |
0.0 |
0.0 |
0.0 |
3.3 |
98.3 |
36.3 |
0.0 |
0.0 |
0.0 |
36.3 |
36.3 |
65.3 |
0.0 |
0.0 |
0.0 |
0.0 |
0.0 |
0.0 |
47.5 |
0.0 |
0.0 |
0.0 |
0.0 |
0.0 |
0.0 |
47.5 |
0.0 |
0.0 |
0.0 |
0.0 |
0.0 |
0.0 |
14.5 |
V (A^3/atom) |
a (A) |
b (A) |
c (A) |
alpha |
beta |
gamma |
|
|---|---|---|---|---|---|---|---|
MLP |
23.886 |
8.289 |
8.289 |
3.477 |
90.0 |
90.0 |
90.0 |
DFT |
24.173 |
8.412 |
8.412 |
3.416 |
90.0 |
90.0 |
90.0 |
1 |
2 |
3 |
4 |
5 |
6 |
|---|---|---|---|---|---|
75.4 |
32.6 |
41.8 |
0.0 |
0.0 |
0.0 |
32.6 |
75.4 |
41.8 |
0.0 |
0.0 |
0.0 |
41.8 |
41.8 |
69.3 |
0.0 |
0.0 |
0.0 |
0.0 |
0.0 |
0.0 |
33.0 |
0.0 |
0.0 |
0.0 |
0.0 |
0.0 |
0.0 |
33.0 |
0.0 |
0.0 |
0.0 |
0.0 |
0.0 |
0.0 |
20.5 |
V (A^3/atom) |
a (A) |
b (A) |
c (A) |
alpha |
beta |
gamma |
|
|---|---|---|---|---|---|---|---|
MLP |
23.62 |
5.595 |
5.595 |
10.454 |
90.0 |
90.0 |
120.0 |
DFT |
24.769 |
5.89 |
5.89 |
9.895 |
90.0 |
90.0 |
120.0 |
1 |
2 |
3 |
4 |
5 |
6 |
|---|---|---|---|---|---|
78.4 |
45.9 |
44.6 |
0.0 |
0.0 |
0.0 |
45.9 |
78.4 |
44.6 |
0.0 |
0.0 |
0.0 |
44.6 |
44.6 |
130.4 |
0.0 |
0.0 |
0.0 |
0.0 |
0.0 |
0.0 |
28.1 |
0.0 |
0.0 |
0.0 |
0.0 |
0.0 |
0.0 |
28.1 |
0.0 |
0.0 |
0.0 |
0.0 |
0.0 |
0.0 |
16.2 |
V (A^3/atom) |
a (A) |
b (A) |
c (A) |
alpha |
beta |
gamma |
|
|---|---|---|---|---|---|---|---|
MLP |
23.308 |
5.457 |
5.457 |
8.135 |
90.0 |
90.0 |
120.0 |
DFT |
23.483 |
5.451 |
5.451 |
8.214 |
90.0 |
90.0 |
120.0 |
1 |
2 |
3 |
4 |
5 |
6 |
|---|---|---|---|---|---|
88.6 |
44.8 |
22.4 |
0.0 |
0.0 |
0.0 |
44.8 |
88.6 |
22.4 |
0.0 |
0.0 |
0.0 |
22.4 |
22.4 |
123.9 |
0.0 |
0.0 |
0.0 |
0.0 |
0.0 |
0.0 |
-34.8 |
0.0 |
0.0 |
0.0 |
0.0 |
0.0 |
0.0 |
-34.8 |
0.0 |
0.0 |
0.0 |
0.0 |
0.0 |
0.0 |
21.9 |
V (A^3/atom) |
a (A) |
b (A) |
c (A) |
alpha |
beta |
gamma |
|
|---|---|---|---|---|---|---|---|
MLP |
23.502 |
7.218 |
7.218 |
7.218 |
90.0 |
90.0 |
90.0 |
DFT |
23.372 |
7.205 |
7.205 |
7.205 |
90.0 |
90.0 |
90.0 |
1 |
2 |
3 |
4 |
5 |
6 |
|---|---|---|---|---|---|
53.5 |
42.0 |
42.0 |
0.0 |
0.0 |
0.0 |
42.0 |
53.5 |
42.0 |
0.0 |
0.0 |
0.0 |
42.0 |
42.0 |
53.5 |
0.0 |
0.0 |
0.0 |
0.0 |
0.0 |
0.0 |
44.8 |
0.0 |
0.0 |
0.0 |
0.0 |
0.0 |
0.0 |
44.8 |
0.0 |
0.0 |
0.0 |
0.0 |
0.0 |
0.0 |
44.8 |
V (A^3/atom) |
a (A) |
b (A) |
c (A) |
alpha |
beta |
gamma |
|
|---|---|---|---|---|---|---|---|
MLP |
22.753 |
6.397 |
6.397 |
10.271 |
90.0 |
90.0 |
120.0 |
DFT |
22.884 |
6.388 |
6.388 |
10.36 |
90.0 |
90.0 |
120.0 |
1 |
2 |
3 |
4 |
5 |
6 |
|---|---|---|---|---|---|
72.8 |
40.2 |
15.3 |
0.0 |
0.0 |
0.0 |
40.2 |
72.8 |
15.3 |
0.0 |
0.0 |
0.0 |
15.3 |
15.3 |
104.8 |
0.0 |
0.0 |
0.0 |
0.0 |
0.0 |
0.0 |
22.6 |
0.0 |
0.0 |
0.0 |
0.0 |
0.0 |
0.0 |
22.6 |
0.0 |
0.0 |
0.0 |
0.0 |
0.0 |
0.0 |
16.3 |
V (A^3/atom) |
a (A) |
b (A) |
c (A) |
alpha |
beta |
gamma |
|
|---|---|---|---|---|---|---|---|
MLP |
22.883 |
4.968 |
4.968 |
14.835 |
90.0 |
90.0 |
90.0 |
DFT |
22.939 |
4.605 |
4.605 |
17.307 |
90.0 |
90.0 |
90.0 |
1 |
2 |
3 |
4 |
5 |
6 |
|---|---|---|---|---|---|
90.3 |
3.7 |
39.9 |
0.0 |
0.0 |
0.0 |
3.7 |
90.3 |
39.9 |
0.0 |
0.0 |
0.0 |
39.9 |
39.9 |
51.4 |
0.0 |
0.0 |
0.0 |
0.0 |
0.0 |
0.0 |
43.9 |
0.0 |
0.0 |
0.0 |
0.0 |
0.0 |
0.0 |
43.9 |
0.0 |
0.0 |
0.0 |
0.0 |
0.0 |
0.0 |
16.8 |
V (A^3/atom) |
a (A) |
b (A) |
c (A) |
alpha |
beta |
gamma |
|
|---|---|---|---|---|---|---|---|
MLP |
23.083 |
3.587 |
3.587 |
3.587 |
90.0 |
90.0 |
90.0 |
DFT |
23.018 |
3.584 |
3.584 |
3.584 |
90.0 |
90.0 |
90.0 |
1 |
2 |
3 |
4 |
5 |
6 |
|---|---|---|---|---|---|
75.6 |
42.3 |
42.3 |
0.0 |
0.0 |
0.0 |
42.3 |
75.6 |
42.3 |
0.0 |
0.0 |
0.0 |
42.3 |
42.3 |
75.6 |
0.0 |
0.0 |
0.0 |
0.0 |
0.0 |
0.0 |
52.0 |
0.0 |
0.0 |
0.0 |
0.0 |
0.0 |
0.0 |
52.0 |
0.0 |
0.0 |
0.0 |
0.0 |
0.0 |
0.0 |
52.0 |
V (A^3/atom) |
a (A) |
b (A) |
c (A) |
alpha |
beta |
gamma |
|
|---|---|---|---|---|---|---|---|
MLP |
22.501 |
7.114 |
7.114 |
7.114 |
90.0 |
90.0 |
90.0 |
DFT |
22.449 |
7.108 |
7.108 |
7.108 |
90.0 |
90.0 |
90.0 |
1 |
2 |
3 |
4 |
5 |
6 |
|---|---|---|---|---|---|
65.3 |
36.3 |
36.3 |
0.0 |
0.0 |
0.0 |
36.3 |
65.3 |
36.3 |
0.0 |
0.0 |
0.0 |
36.3 |
36.3 |
65.3 |
0.0 |
0.0 |
0.0 |
0.0 |
0.0 |
0.0 |
47.5 |
0.0 |
0.0 |
0.0 |
0.0 |
0.0 |
0.0 |
47.5 |
0.0 |
0.0 |
0.0 |
0.0 |
0.0 |
0.0 |
47.5 |