Si-Ga-2022-06-12

../../_images/pareto105.png

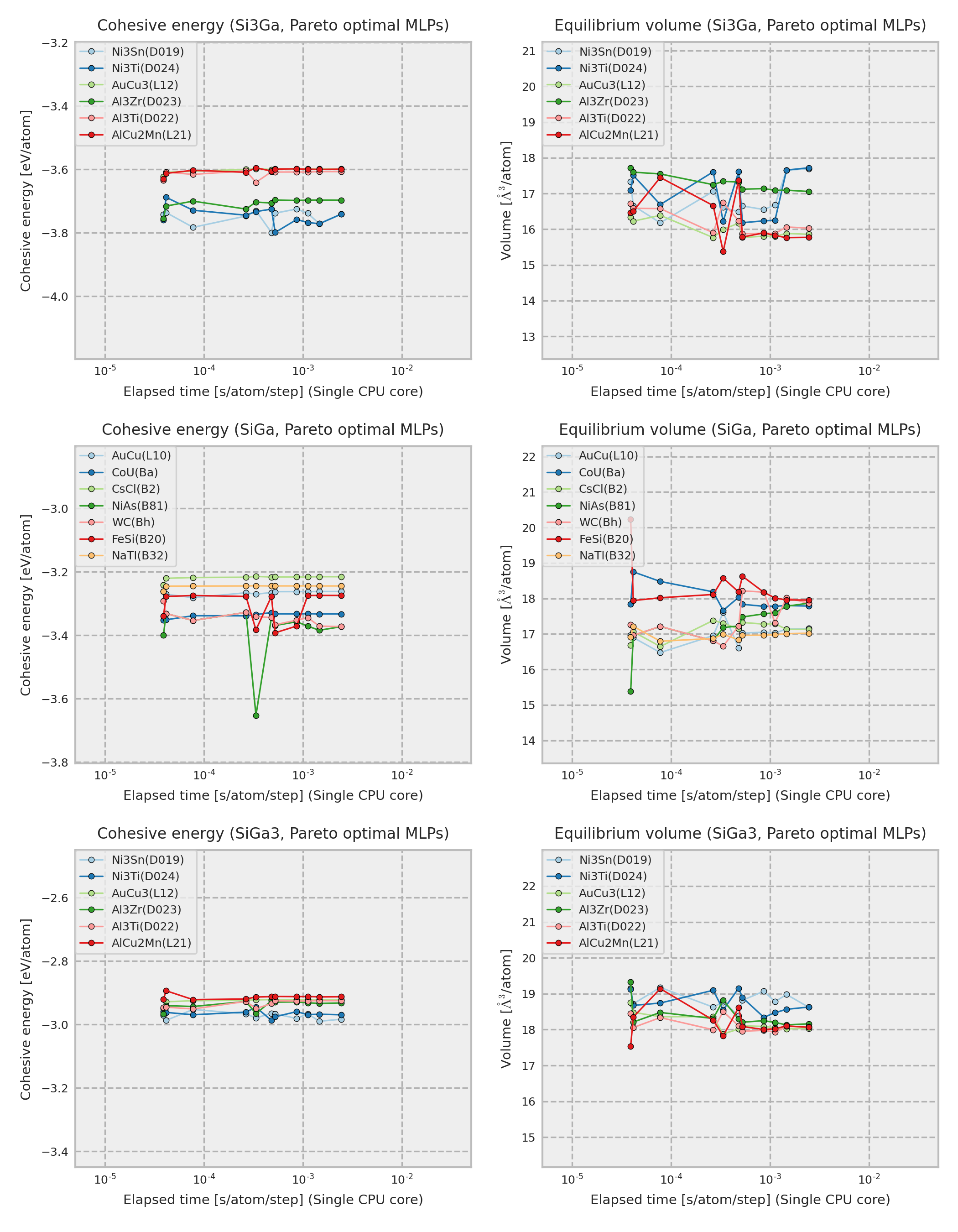
The current structure dataset comprises 36876 structures generated from elemental ICSD structures and binary ICSD prototype alloy structures. A more detailed procedure is found in Phys. Rev. B 102, 174104 (2020).

Predictions using Pareto optimal MLPs

../../_images/prediction-ecoh-volume105.png

The cohesive energy and volume are obtained by performing a local structure optimization from the DFT equilibrium structure. In addition, the DFT equilibrium structure is obtained by optimizing a prototype structure included in ICSD, and the prototype is used as the structure legend in the figure. Therefore, the structure type of the converged structure is sometimes different from that shown in the legend even if the potential energy surface predicted by MLP is almost the same as the true one.

The other properties predicted by each Pareto optimal MLP are available from column Predictions in the following table.

Pareto optimals

Name

Time [ms] (1core/36cores)

RMSE [meV/atom]/[eV/A]

Predictions

Files

pair-1

0.027 / 0.005

120.99 / 0.3645

pair-17

0.027 / 0.005

93.818 / 0.3393

pair-33

0.028 / 0.005

26.106 / 0.1579

pair-37

0.039 / 0.005

24.893 / 0.1567

pair-49

0.041 / 0.005

12.053 / 0.1056

pair-50

0.078 / 0.008

8.8543 / 0.0981

predictions

mlp.lammps input log

gtinv-722

0.266 / 0.023

7.3326 / 0.0762

predictions

mlp.lammps input log

pair-60

0.335 / 0.025

6.5481 / 0.0870

predictions

mlp.lammps input log

gtinv-725

0.481 / 0.044

4.9653 / 0.0741

predictions

mlp.lammps input log

gtinv-182

0.525 / 0.035

2.5453 / 0.0512

predictions

mlp.lammps input log

gtinv-411

0.864 / 0.056

2.5436 / 0.0466

predictions

mlp.lammps input log

gtinv-194

1.119 / 0.060

2.5217 / 0.0503

predictions

mlp.lammps input log

gtinv-269

1.464 / 0.086

2.2558 / 0.0476

predictions

mlp.lammps input log

gtinv-436

2.447 / 0.145

2.1388 / 0.0435

predictions

mlp.lammps input log

Column “Time” shows the time required to compute the energy and forces for 1 MD step and 1 atom, which is estimated from a simulation of 10 runs for a structure with 284 atoms using a workstation with Intel(R) Xeon(R) CPU E5-2695 v4 @ 2.10GHz. Note that the MLPs should be carefully used for extreme structures. The MLPs often return meaningless values for them.

  • All Pareto optimal MLPs are available here.