Sn-Pb-2022-06-12

../../_images/pareto111.png

The current structure dataset comprises 37324 structures generated from elemental ICSD structures and binary ICSD prototype alloy structures. A more detailed procedure is found in Phys. Rev. B 102, 174104 (2020).

Predictions using Pareto optimal MLPs

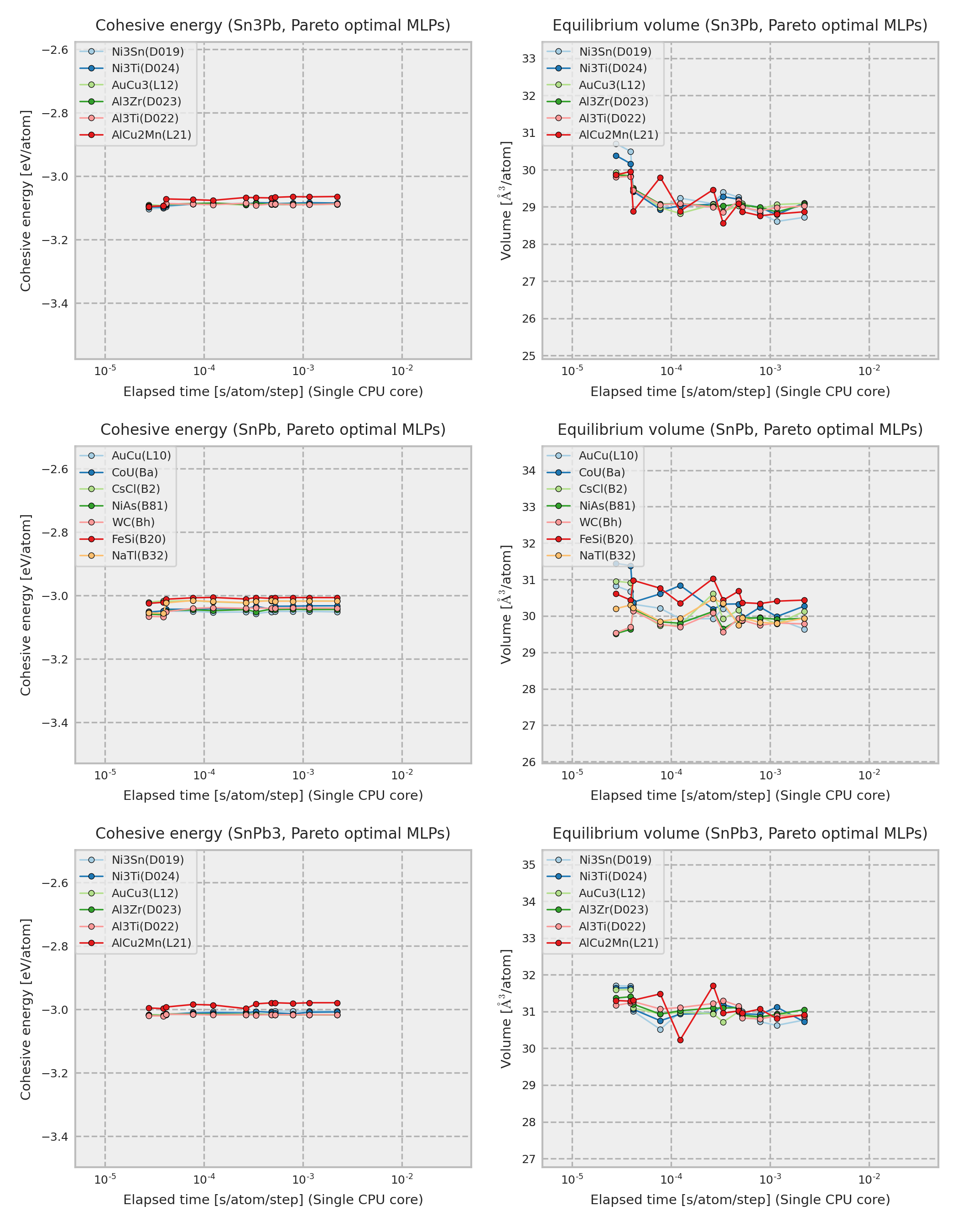
../../_images/prediction-ecoh-volume111.png

The cohesive energy and volume are obtained by performing a local structure optimization from the DFT equilibrium structure. In addition, the DFT equilibrium structure is obtained by optimizing a prototype structure included in ICSD, and the prototype is used as the structure legend in the figure. Therefore, the structure type of the converged structure is sometimes different from that shown in the legend even if the potential energy surface predicted by MLP is almost the same as the true one.

The other properties predicted by each Pareto optimal MLP are available from column Predictions in the following table.

Pareto optimals

Name

Time [ms] (1core/36cores)

RMSE [meV/atom]/[eV/A]

Predictions

Files

pair-1

0.027 / 0.005

160.90 / 0.3274

pair-17

0.027 / 0.005

130.07 / 0.3052

pair-33

0.028 / 0.005

22.339 / 0.0885

pair-37

0.039 / 0.005

21.054 / 0.0885

pair-49

0.041 / 0.005

7.6837 / 0.0624

predictions

mlp.lammps input log

pair-50

0.078 / 0.008

4.5304 / 0.0571

predictions

mlp.lammps input log

pair-51

0.123 / 0.014

3.9138 / 0.0557

predictions

mlp.lammps input log

gtinv-722

0.266 / 0.023

3.7132 / 0.0478

predictions

mlp.lammps input log

pair-60

0.335 / 0.025

3.2973 / 0.0530

predictions

mlp.lammps input log

gtinv-725

0.481 / 0.044

2.9153 / 0.0434

predictions

mlp.lammps input log

gtinv-182

0.525 / 0.035

1.9449 / 0.0361

predictions

mlp.lammps input log

gtinv-257

0.792 / 0.055

1.5698 / 0.0343

predictions

mlp.lammps input log

gtinv-260

1.166 / 0.082

1.3844 / 0.0342

predictions

mlp.lammps input log

gtinv-426

2.207 / 0.144

1.3743 / 0.0319

predictions

mlp.lammps input log

Column “Time” shows the time required to compute the energy and forces for 1 MD step and 1 atom, which is estimated from a simulation of 10 runs for a structure with 284 atoms using a workstation with Intel(R) Xeon(R) CPU E5-2695 v4 @ 2.10GHz. Note that the MLPs should be carefully used for extreme structures. The MLPs often return meaningless values for them.

  • All Pareto optimal MLPs are available here.