gtinv-340 (P-2021-09-09-all-icsd)¶
Energy distribution
Equation of state
Equation of state for each structure
Prototype structure energy
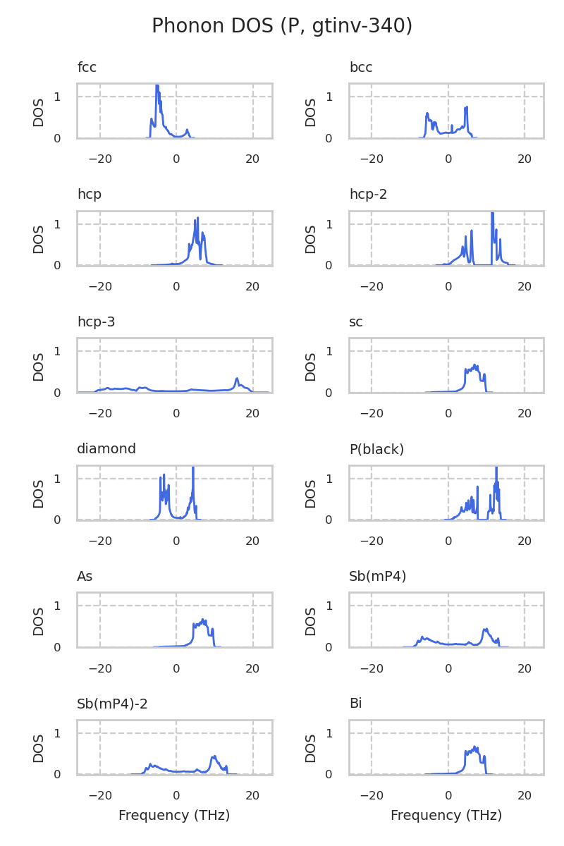
Phonon density of states
Prototype structure energy, Lattice constants, Elastic constants
Prototype |
MLP (eV/atom) |
DFT (eV/atom) |
|---|---|---|
icsd-105489-[FeB] |
-3.48391 |
-3.4853 |
icsd-609832-[P(black)] |
-3.4825 |
-3.48297 |
icsd-15535-[O2(hR2)] |
-3.47323 |
-3.47234 |
icsd-24892-[N2] |
-3.47315 |
-3.47222 |
icsd-108682-[Pr(hP6)] |
-3.47059 |
-3.47595 |
icsd-248500-[O2(mS4)] |
-3.46991 |
-3.47297 |
icsd-652876-2-[hcp-Mg] |
-3.46238 |
-3.46403 |
icsd-27249-[CO] |
-3.44798 |
-3.44797 |
icsd-644520-[N2(epsilon)] |
-3.428 |
-3.43313 |
icsd-31692-[Pu(mP16)] |
-3.41441 |
-3.42345 |
icsd-182732-[BN(P1)] |
-3.39834 |
-3.39338 |
icsd-193439-[Graphite(2H)] |
-3.39804 |
-3.39329 |
icsd-189460-[MnP] |
-3.38495 |
-3.38961 |
icsd-104296-[Hg(LT)] |
-3.38279 |
-3.38565 |
icsd-26482-[N2(cP8)] |
-3.38271 |
-3.3792 |
icsd-109027-[Sr(HP)] |
-3.3827 |
-3.37919 |
icsd-653045-[Se(gamma)] |
-3.38266 |
-3.38087 |
icsd-88815-[Graphite(oS16)] |
-3.38257 |
-3.37913 |
icsd-653719-[Bi] |
-3.38254 |
-3.37914 |
icsd-43211-[Po(alpha)] |
-3.38253 |
-3.37912 |
icsd-616526-[As] |
-3.38252 |
-3.38082 |
icsd-52501-[Te(mP4)] |
-3.38251 |
-3.38457 |
icsd-181082-[C(P1)] |
-3.38251 |
-3.3791 |
icsd-109028-[Bi(I4/mcm)] |
-3.38251 |
-3.37911 |
icsd-162242-[Ca(III)] |
-3.38251 |
-3.38457 |
icsd-57192-[Cs(tP8)] |
-3.3825 |
-3.3791 |
icsd-97742-[Sb2Te3] |
-3.3825 |
-3.38123 |
icsd-37090-[S6] |
-3.38163 |
-3.4501 |
icsd-30606-[Se(beta)] |
-3.37117 |
-3.38946 |
icsd-42679-[Sb(mP4)] |
-3.36301 |
-3.37389 |
icsd-43539-[Ga(Cmcm)] |
-3.29852 |
-3.29705 |
icsd-236858-[O8] |
-3.28413 |
-3.28528 |
icsd-28540-[H2] |
-3.2781 |
-3.28018 |
icsd-280872-[Ta(tP30)] |
-3.27779 |
-3.27831 |
icsd-43251-[S8(Fddd)] |
-3.25743 |
-3.26659 |
icsd-62747-[B(hR12)] |
-3.25541 |
-3.2592 |
icsd-31170-[C(P63mc)] |
-3.24948 |
-3.24882 |
icsd-182760-[C(C2/m)] |
-3.23258 |
-3.25136 |
icsd-2091-[Se3S5] |
-3.23105 |
-3.26773 |
icsd-52412-[Sc] |
-3.20849 |
-3.20796 |
icsd-653797-[Pu(mS34)] |
-3.20522 |
-3.21075 |
icsd-26463-[S12] |
-3.20517 |
-3.26675 |
icsd-188336-[(Ca8)xCa2] |
-3.19808 |
-3.19823 |
icsd-76041-[U(beta)] |
-3.19135 |
-3.20373 |
icsd-165132-[B28] |
-3.19102 |
-3.2062 |
icsd-31829-[Graphite(3R)] |
-3.18878 |
-3.18681 |
icsd-189436-[B(tP50)] |
-3.17672 |
-3.17027 |
icsd-182587-[Nickeline-NiAs] |
-3.1764 |
-3.17644 |
icsd-52916-[La] |
-3.1764 |
-3.17642 |
icsd-652633-[Sm] |
-3.17203 |
-3.17122 |
icsd-173517-[Ge(HP)] |
-3.1528 |
-3.13987 |
icsd-43058-[Mn(alpha)-Mn(cI58)] |
-3.14214 |
-3.14194 |
icsd-165725-[Co(tP28)] |
-3.1072 |
-3.10941 |
icsd-194468-[I2] |
-3.08857 |
-3.08708 |
icsd-652876-[hcp-Mg] |
-3.08642 |
-3.08611 |
icsd-248474-[Pu(oF8)] |
-3.08478 |
-3.0836 |
icsd-162256-[Ga] |
-3.08166 |
-3.08352 |
icsd-56503-[GaSb] |
-3.07909 |
-3.08345 |
icsd-236662-[Sn] |
-3.07898 |
-3.08345 |
icsd-109018-[Cs(HP)] |
-3.0635 |
-3.07123 |
icsd-88820-[Si(HP)] |
-3.05171 |
-3.05944 |
icsd-653381-[U] |
-3.03973 |
-3.0413 |
icsd-109035-[Ca.15Sn.85] |
-3.03351 |
-3.03684 |
icsd-245956-[Ge] |
-3.01742 |
-3.01052 |
icsd-185973-[C3N2] |
-3.00614 |
-2.99883 |
icsd-56897-[SmNiSb] |
-2.99821 |
-2.99518 |
icsd-76166-[U(beta)-CrFe] |
-2.99572 |
-2.99612 |
icsd-30101-[Wurtzite-ZnS(2H)] |
-2.98519 |
-2.98656 |
icsd-639810-[In] |
-2.97872 |
-2.96917 |
icsd-642937-[Mn(cP20)] |
-2.97764 |
-2.98037 |
icsd-168172-[I(Immm)] |
-2.96751 |
-2.97797 |
icsd-167204-[Ge(hP8)] |
-2.94752 |
-2.93905 |
icsd-181908-[Si(I4/mmm)] |
-2.93625 |
-2.93344 |
icsd-41979-[Diamond-C(cF8)] |
-2.93388 |
-2.93363 |
icsd-189786-[Si(oS16)] |
-2.93082 |
-2.93272 |
icsd-245950-[Ge(cF136)] |
-2.91493 |
-2.91354 |
icsd-157920-[IrV] |
-2.86818 |
-2.86248 |
icsd-161381-[K(HP)] |
-2.79121 |
-2.79542 |
icsd-656457-[Po(hR1)] |
-2.79102 |
-2.79543 |
icsd-76156-[bcc-W] |
-2.79093 |
-2.78984 |
icsd-43216-[Sn(tI2)] |
-2.79085 |
-2.78992 |
icsd-648333-[Pa] |
-2.79084 |
-2.78992 |
icsd-246446-[Bi(III)] |
-2.79083 |
-2.78993 |
icsd-187431-[CaHg2] |
-2.79082 |
-2.79045 |
icsd-109012-[Li(cI16)] |
-2.71468 |
-2.72161 |
icsd-52914-[ccp-Cu] |
-2.62958 |
-2.6242 |
icsd-108326-[Cr3Si] |
-2.60293 |
-2.6072 |
V (A^3/atom) |
a (A) |
b (A) |
c (A) |
alpha |
beta |
gamma |
|
|---|---|---|---|---|---|---|---|
MLP |
14.888 |
3.285 |
3.285 |
3.186 |
90.0 |
90.0 |
120.0 |
DFT |
15.069 |
3.292 |
3.292 |
3.212 |
90.0 |
90.0 |
120.0 |
1 |
2 |
3 |
4 |
5 |
6 |
|---|---|---|---|---|---|
161.1 |
94.7 |
37.6 |
0.0 |
0.0 |
0.0 |
94.7 |
161.1 |
37.6 |
0.0 |
0.0 |
0.0 |
37.6 |
37.6 |
262.1 |
0.0 |
0.0 |
0.0 |
0.0 |
0.0 |
0.0 |
55.7 |
0.0 |
0.0 |
0.0 |
0.0 |
0.0 |
0.0 |
55.7 |
0.0 |
0.0 |
0.0 |
0.0 |
0.0 |
0.0 |
33.2 |
V (A^3/atom) |
a (A) |
b (A) |
c (A) |
alpha |
beta |
gamma |
|
|---|---|---|---|---|---|---|---|
MLP |
21.647 |
3.308 |
11.434 |
4.579 |
90.0 |
90.0 |
90.0 |
DFT |
20.778 |
3.308 |
11.087 |
4.532 |
90.0 |
90.0 |
90.0 |
1 |
2 |
3 |
4 |
5 |
6 |
|---|---|---|---|---|---|
150.9 |
20.1 |
34.9 |
0.0 |
0.0 |
0.0 |
20.1 |
100.3 |
24.4 |
0.0 |
0.0 |
0.0 |
34.9 |
24.4 |
105.9 |
0.0 |
0.0 |
0.0 |
0.0 |
0.0 |
0.0 |
9.4 |
0.0 |
0.0 |
0.0 |
0.0 |
0.0 |
0.0 |
43.9 |
0.0 |
0.0 |
0.0 |
0.0 |
0.0 |
0.0 |
6.7 |
V (A^3/atom) |
a (A) |
b (A) |
c (A) |
alpha |
beta |
gamma |
|
|---|---|---|---|---|---|---|---|
MLP |
32.075 |
3.27 |
3.27 |
20.776 |
90.0 |
90.0 |
120.0 |
DFT |
30.841 |
3.277 |
3.277 |
19.898 |
90.0 |
90.0 |
120.0 |
1 |
2 |
3 |
4 |
5 |
6 |
|---|---|---|---|---|---|
93.8 |
17.5 |
0.0 |
0.0 |
0.0 |
0.0 |
17.5 |
93.8 |
0.0 |
0.0 |
0.0 |
0.0 |
0.0 |
0.0 |
0.0 |
0.0 |
0.0 |
0.0 |
0.0 |
0.0 |
0.0 |
0.0 |
0.0 |
0.0 |
0.0 |
0.0 |
0.0 |
0.0 |
0.0 |
0.0 |
0.0 |
0.0 |
0.0 |
0.0 |
0.0 |
38.2 |
V (A^3/atom) |
a (A) |
b (A) |
c (A) |
alpha |
beta |
gamma |
|
|---|---|---|---|---|---|---|---|
MLP |
14.692 |
2.449 |
2.449 |
2.449 |
90.0 |
90.0 |
90.0 |
DFT |
14.549 |
2.441 |
2.441 |
2.441 |
90.0 |
90.0 |
90.0 |
1 |
2 |
3 |
4 |
5 |
6 |
|---|---|---|---|---|---|
259.7 |
-7.7 |
-7.7 |
0.0 |
0.0 |
0.0 |
-7.7 |
259.7 |
-7.7 |
0.0 |
0.0 |
0.0 |
-7.7 |
-7.7 |
259.7 |
0.0 |
0.0 |
0.0 |
0.0 |
0.0 |
0.0 |
65.6 |
0.0 |
0.0 |
0.0 |
0.0 |
0.0 |
0.0 |
65.6 |
0.0 |
0.0 |
0.0 |
0.0 |
0.0 |
0.0 |
65.6 |
V (A^3/atom) |
a (A) |
b (A) |
c (A) |
alpha |
beta |
gamma |
|
|---|---|---|---|---|---|---|---|
MLP |
14.094 |
3.043 |
3.043 |
3.043 |
90.0 |
90.0 |
90.0 |
DFT |
14.164 |
3.048 |
3.048 |
3.048 |
90.0 |
90.0 |
90.0 |
1 |
2 |
3 |
4 |
5 |
6 |
|---|---|---|---|---|---|
198.5 |
74.5 |
74.5 |
0.0 |
0.0 |
0.0 |
74.5 |
198.5 |
74.5 |
0.0 |
0.0 |
0.0 |
74.5 |
74.5 |
198.5 |
0.0 |
0.0 |
0.0 |
0.0 |
0.0 |
0.0 |
1.0 |
0.0 |
0.0 |
0.0 |
0.0 |
0.0 |
0.0 |
1.0 |
0.0 |
0.0 |
0.0 |
0.0 |
0.0 |
0.0 |
1.0 |
V (A^3/atom) |
a (A) |
b (A) |
c (A) |
alpha |
beta |
gamma |
|
|---|---|---|---|---|---|---|---|
MLP |
14.782 |
3.896 |
3.896 |
3.896 |
90.0 |
90.0 |
90.0 |
DFT |
14.444 |
3.866 |
3.866 |
3.866 |
90.0 |
90.0 |
90.0 |
1 |
2 |
3 |
4 |
5 |
6 |
|---|---|---|---|---|---|
32.8 |
120.4 |
120.4 |
0.0 |
0.0 |
0.0 |
120.4 |
32.8 |
120.4 |
0.0 |
0.0 |
0.0 |
120.4 |
120.4 |
32.8 |
0.0 |
0.0 |
0.0 |
0.0 |
0.0 |
0.0 |
-12.1 |
0.0 |
0.0 |
0.0 |
0.0 |
0.0 |
0.0 |
-12.1 |
0.0 |
0.0 |
0.0 |
0.0 |
0.0 |
0.0 |
-12.1 |
V (A^3/atom) |
a (A) |
b (A) |
c (A) |
alpha |
beta |
gamma |
|
|---|---|---|---|---|---|---|---|
MLP |
20.23 |
5.45 |
5.45 |
5.45 |
90.0 |
90.0 |
90.0 |
DFT |
20.594 |
5.482 |
5.482 |
5.482 |
90.0 |
90.0 |
90.0 |
1 |
2 |
3 |
4 |
5 |
6 |
|---|---|---|---|---|---|
19.0 |
50.1 |
50.1 |
0.0 |
0.0 |
0.0 |
50.1 |
19.0 |
50.1 |
0.0 |
0.0 |
0.0 |
50.1 |
50.1 |
19.0 |
0.0 |
0.0 |
0.0 |
0.0 |
0.0 |
0.0 |
-53.6 |
0.0 |
0.0 |
0.0 |
0.0 |
0.0 |
0.0 |
-53.6 |
0.0 |
0.0 |
0.0 |
0.0 |
0.0 |
0.0 |
-53.6 |
V (A^3/atom) |
a (A) |
b (A) |
c (A) |
alpha |
beta |
gamma |
|
|---|---|---|---|---|---|---|---|
MLP |
21.657 |
4.322 |
3.421 |
5.927 |
90.0 |
98.74 |
90.0 |
DFT |
19.597 |
4.183 |
3.439 |
5.545 |
90.0 |
100.7 |
90.0 |
1 |
2 |
3 |
4 |
5 |
6 |
|---|---|---|---|---|---|
59.0 |
14.5 |
21.6 |
0.0 |
-3.7 |
0.0 |
14.5 |
149.7 |
7.9 |
0.0 |
4.4 |
0.0 |
21.6 |
7.9 |
57.6 |
0.0 |
-11.5 |
0.0 |
0.0 |
0.0 |
0.0 |
3.8 |
0.0 |
-3.0 |
-3.7 |
4.4 |
-11.5 |
0.0 |
12.7 |
0.0 |
0.0 |
0.0 |
0.0 |
-3.0 |
0.0 |
36.1 |
V (A^3/atom) |
a (A) |
b (A) |
c (A) |
alpha |
beta |
gamma |
|
|---|---|---|---|---|---|---|---|
MLP |
14.692 |
2.449 |
2.449 |
2.449 |
90.0 |
90.0 |
90.0 |
DFT |
14.55 |
2.441 |
2.441 |
2.441 |
90.0 |
90.0 |
90.0 |
1 |
2 |
3 |
4 |
5 |
6 |
|---|---|---|---|---|---|
259.7 |
-7.7 |
-7.7 |
0.0 |
0.0 |
0.0 |
-7.7 |
259.7 |
-7.7 |
0.0 |
0.0 |
0.0 |
-7.7 |
-7.7 |
259.7 |
0.0 |
0.0 |
0.0 |
0.0 |
0.0 |
0.0 |
65.6 |
0.0 |
0.0 |
0.0 |
0.0 |
0.0 |
0.0 |
65.6 |
0.0 |
0.0 |
0.0 |
0.0 |
0.0 |
0.0 |
65.6 |
V (A^3/atom) |
a (A) |
b (A) |
c (A) |
alpha |
beta |
gamma |
|
|---|---|---|---|---|---|---|---|
MLP |
14.692 |
2.449 |
2.449 |
2.449 |
90.0 |
90.0 |
90.0 |
DFT |
14.553 |
2.441 |
2.441 |
2.441 |
90.0 |
90.0 |
90.0 |
1 |
2 |
3 |
4 |
5 |
6 |
|---|---|---|---|---|---|
259.7 |
-7.7 |
-7.7 |
0.0 |
0.0 |
0.0 |
-7.7 |
259.7 |
-7.7 |
0.0 |
0.0 |
0.0 |
-7.7 |
-7.7 |
259.7 |
0.0 |
0.0 |
0.0 |
0.0 |
0.0 |
0.0 |
65.6 |
0.0 |
0.0 |
0.0 |
0.0 |
0.0 |
0.0 |
65.6 |
0.0 |
0.0 |
0.0 |
0.0 |
0.0 |
0.0 |
65.6 |
V (A^3/atom) |
a (A) |
b (A) |
c (A) |
alpha |
beta |
gamma |
|
|---|---|---|---|---|---|---|---|
MLP |
25.121 |
3.286 |
3.286 |
16.114 |
90.0 |
90.0 |
120.0 |
DFT |
23.478 |
3.285 |
3.285 |
15.076 |
90.0 |
90.0 |
120.0 |
1 |
2 |
3 |
4 |
5 |
6 |
|---|---|---|---|---|---|
117.8 |
26.5 |
-2.9 |
-4.3 |
0.0 |
0.0 |
26.5 |
117.8 |
-2.9 |
4.3 |
0.0 |
0.0 |
-2.9 |
-2.9 |
3.0 |
0.0 |
0.0 |
0.0 |
-4.3 |
4.3 |
0.0 |
0.2 |
0.0 |
0.0 |
0.0 |
0.0 |
0.0 |
0.0 |
0.2 |
-4.3 |
0.0 |
0.0 |
0.0 |
0.0 |
-4.3 |
45.6 |
V (A^3/atom) |
a (A) |
b (A) |
c (A) |
alpha |
beta |
gamma |
|
|---|---|---|---|---|---|---|---|
MLP |
21.657 |
4.322 |
3.421 |
5.927 |
90.0 |
98.74 |
90.0 |
DFT |
23.104 |
4.114 |
3.435 |
6.544 |
90.0 |
91.96 |
90.0 |
1 |
2 |
3 |
4 |
5 |
6 |
|---|---|---|---|---|---|
59.0 |
14.5 |
21.6 |
0.0 |
-3.7 |
0.0 |
14.5 |
149.7 |
7.9 |
0.0 |
4.4 |
0.0 |
21.6 |
7.9 |
57.6 |
0.0 |
-11.5 |
0.0 |
0.0 |
0.0 |
0.0 |
3.8 |
0.0 |
-3.0 |
-3.7 |
4.4 |
-11.5 |
0.0 |
12.7 |
0.0 |
0.0 |
0.0 |
0.0 |
-3.0 |
0.0 |
36.1 |